是變換分析表達式以進行階的估計所使用的基本方法之一它有廣泛的套用,對某些問題則可得到相當深刻的結果.若
阿貝爾求和公式
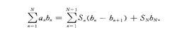
阿貝爾求和公式則有:
這就是阿貝爾離散型的分部求和公式.
阿貝爾求和公式(Abel's summation formula) 亦稱分部求和法.
是變換分析表達式以進行階的估計所使用的基本方法之一它有廣泛的套用,對某些問題則可得到相當深刻的結果.若
阿貝爾求和公式
阿貝爾求和公式則有:
這就是阿貝爾離散型的分部求和公式.
阿貝爾定理: 1.如果冪級數在點x0處(x0不等於0)收斂,則對於適合不等式|x||x1|的一切x使這冪級數發散。
定理定義 定理推廣 參考資料 例子和套用阿貝爾變換是一個恆等式,它在數學分析中有著廣泛的套用。通過阿貝爾變換,可以分別證明任意項級數收斂的阿貝爾判別法和狄利克雷判別法
阿貝爾恆等式 積分第二中值定理 分部積分法 套用阿貝爾不等式亦稱阿貝爾引理,是用阿貝爾變換對有限和∑akbk的已知估計。
簡介 阿貝爾變換阿貝爾引理亦稱阿貝爾不等式,用阿貝爾變換對有限和∑akbk的已知估計。
簡介 阿貝爾變換默比烏斯反演公式(Mobius inversion formula)一種序列反演公式。經典的莫比烏斯反演公式在十八世紀由費迪南德·莫比烏斯(Ferdin...
簡介 公式聲明 系列關係 重複轉換 推廣《上帝擲骰子嗎》 摘要 愛因斯坦:「一個人的價值,應該看他貢獻了什麼,而不是他取得了什麼。」 愛因斯坦說:「我不相信上帝是靠擲骰...
《上帝擲骰子嗎》 序 第一章 黃金時代 第二章 烏雲 第三章 火流星在泛函分析中,卷積、旋積或摺積(英語:Convolution)是通過兩個函式f和g生成第三個函式的一種數學運算元,表征函式f與g經過翻轉和平移的重疊部分的...
簡介 基本內涵 定義 性質 卷積定理電腦史話(新版)《電腦史話》● 1、 計算機始祖 ● 36、 蘋果穿雨衣 ● 2、 第一抹曙光 ● 37...
所看作的在阿貝耳求和與(H, n)求和之間的關係;1 ? 2 + 3..., m + n + 1)-可求和。阿貝耳求和1?2x+3x+…; 1/(1...,他的構想與現在所知的阿貝耳求和相似:……毫無疑問,級數1 ? 2 + 3...
發散性 求和的啟發 特殊方法 廣義化