簡介
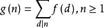
默比烏斯反演公式(Mobius inversion formula)一種序列反演公式。它是德國數學家默比烏斯(Mobius , A. F.)提出的,最早出現在初等數論的研究中。 設f(n)和g(n)是定義在自然數集N上的兩個函式,反演公式:
默比烏斯反演公式稱為(經典的)默比烏斯反演公式。這裡,記號“拼”表示左右兩式可以互推。函式爪n)是默比烏斯在1832年研究素數分布時首次引入的,後稱它為(經典的)默比烏斯函式。
公式聲明
經典版本說明,如果g和f是算數函式,則:
默比烏斯反演公式則有:
默比烏斯反演公式其中μ是Möbius函式,並且和在n的所有正除數d之間延伸。 實際上,原始的f(n)可以通過使用反演公式給出g(n)來確定。 這兩個序列是彼此的莫比烏斯變換。
如果f和g是從正整數到某些阿貝爾組(被視為ℤ模組)的函式,那么公式也是正確的。
默比烏斯反演公式用Dirichlet卷積的語言,第一個公式可以寫成:g=f1,
默比烏斯反演公式
默比烏斯反演公式其中*表示Dirichlet卷積,1是常數函式1(n)= 1。然後將第二個公式寫為:f=g。
關於乘法函式的文章中給出了許多具體的例子。
定理遵循因為*是(交換和)關聯,並且1 *μ=ε,其中ε是Dirichlet卷積的同一性函式,對於所有n> 1,取值ε(1)= 1,ε(n)= 0 因此:
默比烏斯反演公式系列關係
我們使:
默比烏斯反演公式因此得到:
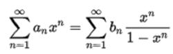
默比烏斯反演公式這個式子是它的轉變。 這些變換是通過系列方式進行的,蘭伯特系列:
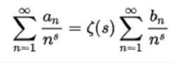
默比烏斯反演公式和Dirichlet系列:
默比烏斯反演公式其中ζ(s)是Riemann zeta函式。
重複轉換
給定算術函式,可以通過重複套用第一個求和來生成其他算術函式的雙無限序列。
例如,如果從歐拉的常數函式開始,並重複套用變換過程,則得到:
1.φ的常數函式
2.φ* 1 = I,其中I(n)= n是識別函式
3.I * 1 =σ1=σ,除數函式
如果起始功能是Möbius功能本身,功能列表是:
1.μ,Möbius函式
2.μ* 1 =ε其中,
默比烏斯反演公式是單位功能。
3.ε* 1 = 1,常數函式
4.1 * 1 =σ0= d =τ,其中d =τ是n的除數,(見除數函式)。
這兩個功能列表在兩個方向都無限延伸。 Möbius反演公式使得這些列表能夠向後遍歷。
作為一個例子,從φ開始的序列是:
默比烏斯反演公式通過考慮相應的Dirichlet系列可以更容易地理解生成的序列:變換的每個重複套用對應於Riemann zeta函式的乘法。
推廣
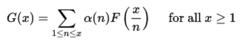
在組合中更有用的相關反演公式如下:假設F(x)和G(x)是在區間[1,∞)上定義的復值函式,使得:
默比烏斯反演公式那么:
默比烏斯反演公式這裡的總和擴展到小於或等於x的所有正整數n。
默比烏斯反演公式這反過來又是一個更一般形式的特殊情況。 如果α(n)是具有Dirichlet反的算術函式,則如果定義:
默比烏斯反演公式那么:
默比烏斯反演公式
默比烏斯反演公式前一個公式出現在常數函式α(n)= 1的特殊情況下,其Dirichlet逆為=μ'(n)。
如果我們在正整數上定義(復值)函式f(n)和g(n),則會出現這些擴展中的第一個的特定套用,
默比烏斯反演公式通過定義F(x)= f(⌊x⌋)和G(x)= g(⌊x⌋),我們推導出:
默比烏斯反演公式
默比烏斯反演公式
默比烏斯反演公式
默比烏斯反演公式
默比烏斯反演公式
默比烏斯反演公式使用此公式的一個簡單示例是計算減少比例0 <<1,其中a和b是互質的,b≤n。 如果我們令f(n)為這個數字,則g(n)是分數0<<1的總數,其中b≤n,其中a和b不一定是互質的。(這是因為每個分數滿足gcd(a,b)= d和b≤n,並且可以減少到分數,其中,反之亦然)。這裡可以直接確定g(n)=,但是f(n)更難計算。
另一個反演公式是(我們假設所涉及的系列是絕對收斂的):
默比烏斯反演公式如上所述,這概括為α(n)是具有Dirichlet反α-1(n)的算術函式:
默比烏斯反演公式乘法符號
由於Möbius反演適用於任何阿貝爾組,所以組操作是作為加法還是作為乘法來表示沒有區別。 這產生了以下反演公式的符號變體:
默比烏斯反演公式概括證明
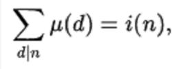
第一個概括可以證明如下。 我們使用Iverson的約定,[condition]是條件的指標函式,如果條件為真,則為1,如果為false則為1。 我們使用的結果,
默比烏斯反演公式即1 *μ= i。我們可以進行一下證明:
默比烏斯反演公式在α(n)代替1的更一般情況下的證明基本上是相同的,如第二次泛化。
