研究歷史
自守函式與自守形式的研究歷史很久,早在高斯(Gauss,G.F.)就有了初步的概念,但他沒有發表這些結果,直至19世紀60年代才被重新發現和研究.第一個系統地研究並形成理論的是龐加萊(Poincaré,(J.-)H.),他關於單變數自守函式理論的工作被譽為是劃時代的,極大地推動了解析函式論的發展.西格爾(Siegel,C.L.)則創造性地把單變數的研究推廣到多變數情形,這並不是一件自然的事情,這一工作對多複變函數論的發展起了極大的促進.蓋爾芳特(Gelfand,I.)和塞爾貝格(Selberg,A.)從酉表示的觀點來研究自守函式和自守形式,這一思想極大地開拓、豐富、發展了自守函式和自守形式理論,近年來,朗蘭茲(Langlands,R.)進一步發展了這一思想,他在這方面的結果和想法,更是涉及到數學的幾乎每一個分支,特別對數論、代數幾何、非交換調和分析和自守函式與自守形式理論本身等學科的發展產生了極其深遠的影響.自守函式與自守形式的研究已成為現代數學的中心課題之一 .
詳細信息
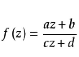
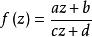
複變函數理論是龐加菜早期數學工作中成果最豐富的研究領域之一。1881一1883年.他在《科學院報告周評》上發表了14篇題為《論富克斯函式》(Sur les fonctions fuchsiennes)的論文.j這些論文引入一類稱為自守函式的特殊函式.自守函式可以寫為
自守函式龐加萊用德圍數學家拉扎勒斯·富克斯(LazarusFuchs)的名字來命名這些函式,因為是富克斯的工作引導龐加萊做出這些發現。自守函式是發現的第一類無窮周期函式簇特例,無窮周期函式是指存在無窮多常數k使得f(z)=f(z+k),它們極大地擴展了簡單三角周期函式和雙周期橢圓函式的概念。龐加萊還將自守函式群的代數性質與相應基本域的幾何性質聯繫起來,並在二者之間建立起關係 。
龐加萊的相關論文《富克斯函式論文集》(Mémorie sur lesfonctioins fuchsiennes)出現於1882年的《數學學報》上,其中,他引入了一類無窮求和,即所謂的θ級數,這個級數等於一個自守函式所有周期的和。龐加萊在論文中分析了級數的收斂性,它們導數之間的關係以及對應區域的幾何性質。在稍晚的論文中,他將這一概念擴展到θ富克斯函式和ζ富克斯函式,這些函式是由自守函式及其導數組合得到的。由於對自守函式的廣泛研究,龐加萊於1887年當選為科學院成員,年僅32歲。
1883年,龐加萊的論文《論整函式》(Sur les functions entières)發表在《法國數學協會報告》(Bulletin de la SociétéMathématique deFrance)上。他在論文中建立起整函式的數個性質,所謂整函式,是指導數在複平面上任意點都存在的函式。龐加萊研究了整函式的一個幾何性質虧格以及表述整函式的無窮級數,他給出了虧格與相應級數係數之間的關係。龐加萊還確立了一般單值化理論,這個理論給出了當何種條件滿足時,整函式對應的曲面可以和一個更簡單的幾何曲面聯繫起來。
龐加萊將自己的複變函數研究推廣至多變數函式情況,建立起研究多變數複變函數理論的基本方法。1883年,他與同胞埃米爾·皮卡德(Emile Picard)一同在《周評》上發表論文《論關於存在2n周期系統的具有n個獨立變數函式的黎曼定理》(Sur un théorèmede Riemann relatif aux fonctions de n variables indépendantes admettant2n systèmes de périodes).兩人證明,一類名為亞純函式的特殊雙變數函式只能出現於兩個自守函式相除時.在此後一些關於多復變數函式的論文中.龐加萊研究了一系列概念,如多重調和函式,保角變換和複函數積分的留數。與自守函式的工作不同,龐加菜在整函式和多復變數函式方面作出的貢獻打開了新研究領域的大門.相關領域的研究成果豐富.並一直持續到如今 。

