定義
定義1
腦啡肽(enkephalin)屬於內啡肽,為五肽(YGGFX)。有兩種天然腦啡肽存在於腦、脊髓和腸,兩者的區別僅在於C端分別是亮氨酸和甲硫氨酸,其前體(前腦啡肽)相同。內啡肽和腦啡肽的N端4肽序列相同。
定義2
由五個胺基酸殘基組成的具有嗎啡樣活性的神經肽。
結構特點
都至少含有一個氨基和一個羧基,並且都有一個氨基和一個羧基,連線在同一個碳原子上
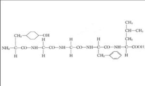
結構式
Met-腦啡肽 Tyr-Gly-Gly-Phe-Met
Leu-腦啡肽 Tyr-Gly-Gly-Phe-Leu
結構簡式 CH3
│
CH-CH3
CH-◇-OH │
│ H H H CH2
│ │ │ │ │
NH2-C-CO-NH-C-CO-NH-C-CO-NH-C-CO-NH-C-COOH
│ │ │ │ │
H H H CH2-◇ H
工作原理
科學家在20世紀70年代首次識別出這些化合物和它們的工作原理。與其它人體通過給神經系統傳遞信號分泌產生的物質一樣,腦啡肽也在身體需要時自動產生。人不能控制神經遞質的釋放時間或數量,並且這些化合物會在需要時馬上發揮作用。這種快速反應時間對許多神經遞質很重要,因為體內環境不斷改變,使在恰當時間傳遞適當信號變的很重要。
腦內作用
腦啡肽的作用許多證據表明,腦啡肽是腦中特殊神經元系統的神經遞質。這種特殊神經元系統,控制著屬於痛覺和情感行為的感覺信息的整合,以及其他功能。因為發現腦啡肽水平的區域性差別與嗎啡類受體相平行。如腦啡肽富集於包含神經末梢的部分,這符合對一種神經遞質的預測,顯示腦啡肽神經末梢與軸索系統的免疫組織化學圖譜,也支持它作為一種神經遞質的作用。含腦啡肽神經元末梢的存在,腦啡肽及嗎啡對於具有嗎啡類受體的細胞的衝動發放的特異性和選擇性作用,使腦啡肽獲得比其他多數腦內遞質更充分的支持。
另外,在多種動物的胃腸道中也測得到腦啡肽,但在其他任何組織中並未發現。腦啡肽嚴格限制於胃腸遭及腦內,這點很象其他肽類如P物質和生長激素釋放抑制素等物質,看來它是在外周起著激素樣作用,而在腦內作為神經遞質可能與腦啡肽相同。
這些神經遞質由大腦和神經系統在接收到疼痛信號後釋放。除了減輕疼痛感以外,腦啡肽還會改變人對痛苦的感知方式。這一點很重要,因為在疼痛緩解後仍然有可能經歷恐慌或煩惱,這也是合成止痛劑的一個缺陷,它無法解決潛在的情緒問題。
由於這些神經遞質會影響感知,因此在記憶功能和情緒方面扮演一個重要角色。它們也會影響食慾和消化系統功能。所有這些身體和情緒變化都對經歷疼痛的人有好處,使釋放內啡肽成為身體對疼痛和損傷產生反應的重要組成部分。這些多肽被歸類為內啡肽,是讓身體產生愉悅感的化合物家族成員之一。
垂體嗎啡樣肽類不可能透入腦內,它們能調節嗎啡類所能改變的垂體功能。至於較長肽鏈的嗎啡樣肽如趨脂素等與腦啡肽之間有無關係,從某些具有生物活性的肽是由較長的肽斷離下來的片段來看,可以構想,趨脂素可能作為腦啡肽的前身物。如肛內啡肽能在腦中測得,而趨脂素本身則在腦中未發現。有可能,較大的肽如肛內啡肽是垂體所獨有,而腦啡肽則為腦特有。
副作用
腦啡肽綁定體內的阿片傳遞素。該特點使之能有效控制疼痛,但也容易讓人上癮。針對腦啡肽成癮和行為糾正特點的研究有很多,並且這些影響在使用合成止痛藥綁定同樣的受體時還會大大增加。實際上,成癮性也是使用止痛藥最令人擔心的問題之一,因為醫生希望給病人推薦不會造成依賴的止痛劑。
盤點盜夢空間的背景知識
| 本季扛鼎大片《盜夢空間》在今天正式上映了,晦澀難懂撲朔迷離的劇情猶如第二部《黑客帝國》。 |

