定義
羧酸是分子中含有-COOH官能團的化合物,通常把這個官能團寫作-COOH,稱為羧基。除甲酸外,羧酸可以看成是烴的羧基衍生物,它的通式為R-COOH。
羧基酸是指含有羥基和羧基兩種官能團的化合物。
羧基酸分子式
羧基酸羥基酸的化學性質
(1)酸性
酸性對比圖(2)脫水反應
α-羥基酸
分子間脫水生成交酯β-羥基酸
分子內脫水生成α,β-不飽和酸γ-和δ-羥基酸
反應式羥基和羧基相隔五個或五個以上碳原子的羥基酸,受熱後發生分子間的酯化脫水生成鏈狀結構的聚酯。
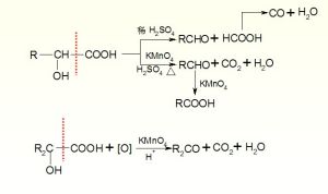
反應式(3)分解脫羧反應
α-羥基酸
反應式
反應式β-羥基酸用鹼性高錳酸鉀氧化則分解生成酮。
反應式
