概述
碳醯胺(tanxianan)也稱脲,是碳酸的全醯胺,存在於人和哺乳動物的尿中,故稱尿素。脲是白色晶體,熔點132℃,易溶於水和乙醇中。脲是高效固體氮肥,適用於各種土壤和農作物,它也是重要的化工原料,用於合成塑膠及藥物等。
製備
化學式特殊性質
脲具有醯胺的結構,故它具有醯胺的一般性質。但由於分子中兩個氨基連在同一羰基上,具有以下特殊性質:
弱鹼性
脲的鹼性微弱,它的水溶液不能使石蕊變色,但它能與硝酸、草酸生成難溶性的鹽,可利用此特性從尿液中分離尿素。
反應式
反應式水解
脲與酸或鹼共熱,或在脲素酶的作用下都能水解生成氨或銨鹽,故可用作氮肥。
反應式與亞硝酸作用
脲分子中有氨基,與亞硝酸作用時能放出氮氣。
反應式此反應可測定脲的含量或用來除去某些反應中殘留的過量亞硝酸。
加熱反應
將固體脲慢慢加熱到它的熔點以上(約150~160℃,溫度過高則分解),兩分子脲之間失去一分子氨生成縮二脲。
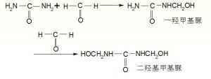
反應式與甲醛作用
在酸或鹼催化劑作用下,脲與甲醛(40%水溶液)經縮聚反應而得到的高分子化合物稱為脲醛樹脂。
首先的反應是:
反應式然後在進一步縮合生成線型的或體型的高分子化合物。
線性樹脂
體型樹脂脲醛樹脂主要用來膠合木材,處理紙張或織物和製造塑膠製品。
備註
植物和許多微生物能產生尿素酶,施於土壤中的碳醯胺是在這種酶存在下水解後,被植物吸收的。碳醯胺是含氮量最高的氮肥,又是脲醛塑膠和醫藥的原料。
工業上,尿素由二氧化碳與氨加壓製得(參見“尿素”)。

