主要內容
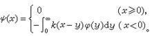
一類給定在半無窮區間上的帶差核的奇異積分方程,其一般形式為
(1)
維納-霍普夫方程
維納-霍普夫方程
維納-霍普夫方程
維納-霍普夫方程
維納-霍普夫方程
維納-霍普夫方程
維納-霍普夫方程
維納-霍普夫方程式中為常數;()(-∞<<+∞)和()(0≤<+∞)為已知函式;()(0<<+∞)為未知函式。
方程(1)的研究開始於20世紀20年代初,它早期的著名例子是輻射傳輸理論中的米爾恩方程,後來因1931年N.維納和E.霍普夫給出其求解方法而得名。20世紀40年代以後,這一方程的理論在解析函式邊值問題、調和分析和運算元理論的基礎上得到了系統的發展,其套用也從輻射問題擴展到許多其他領域,例如中子遷移、電磁波衍射、控制論、多體問題以及人口理論等。
維納-霍普夫方法 又稱因子分解法,是N.維納和E.霍普夫為求解方程(1)而提出的,已成為研究各種數學物理問題的一種常用方法。其基本思想是通過積分變換將原方程化為一個泛函方程,然後再用函式因子分解的方法來求解。下面以方程(1)的求解為例來加以說明。 在<0處,令()=()=0,首先將方程(1)開拓到整個實軸,即
若(2)中諸函式滿足適當的條件,例如,存在>0使得()e,()e和()e屬於(-∞,+∞),則藉助於傅立葉變換由(2)可得
這裡和下文大寫字母均表示相應函式的傅立葉變換,而大寫字母的下標+和-則分別表示該函式在半平面τ>-和τ<內解析。在許多情況下,對(3)可求出解的表達式。求解的關鍵在於將()=-()因子分解。一個常用的分解定理是,設()在||<內解析、無零點且一致地有 則存在分解
式中()和()可由()求出,它們在相應半平面內無零點。由於在所述條件下,()/()在|τ|<內解析, 由柯西積分公式知,
這裡()和()可用 來表示,因而由(3)得到由此利用解析開拓和廣義劉維爾定理求出φ()和()(準確到相差一個整函式),然後再對φ()進行傅立葉逆變換即可求得方程(1)的解()。
當僅假定()∈(-∞,+∞)和-()≠0(-∞≤≤+∞)時,-()也有類似分解,這時需要用到調和分析理論中的維納-萊維定理。由此套用巴拿赫空間中的運算元理論,還可在一般函式空間,例如
有界可測函式空間和有界連續函式空間中對方程 (1)進行求解。
主要結果
維納-霍普夫方程
維納-霍普夫方程用記上述函式空間。方程(1)的一個重要特點是其中積分僅是相應函式空間中的有界運算元,而不是全連續運算元,因此它和弗雷德霍姆積分方程在性質上有著本質的不同。這主要表現在:①齊次方程(1)和它的共軛方程線性無關解的個數一般不相等,它們的差等於
整數()稱為方程(1)的指標;②方程(1)的譜點一般為連續統,其中複平面閉曲線=()(-∞≤≤+∞)上的點為本質譜,亦即對於全連續運算元微擾不變的譜,而使得()>0的點為方程(1)的點譜。
函式-()稱為方程(1)的符號。當符號無零點時,方程(1)稱為正常的,否則稱為例外的。對於正常方程,已經有了較系統的結果,其中主要有:① 設()∈(-∞,+∞),則方程(1)在中滿足諾特定理(見奇異積分方程)的充分必要條件為-()≠0(-∞≤≤+∞),故正常方程有時也稱為諾特型方程;②當()>0時,齊次方程(1)在中有()個線性無關解,()≤0時無非零解;③當()>0時,非齊次方程(1)在中有()個線性無關解,()=0時,有惟一解,()<0時,無解或有惟一解,有解的充分必要條件是其右端滿足條件
的線性無關解。至於例外方程,也有不少結果,但尚無系統理論。
以上結果在作相應修改後,對於對偶積分方程、方程 (1)的離散形式特普利茨方程以及有關方程組也都同樣成立。
![維納-霍普夫方程[維納-霍普夫方程] 維納-霍普夫方程[維納-霍普夫方程]](/img/c/f95/gZpdmLz91MwcDM4MDOwkDM4ATOxEDMwADMwADMwADMwATMw8SOw8yMw8SbvNmLn52bk92bo5Cd0FmL0E2LvoDc0RHa.jpg)
