
概述
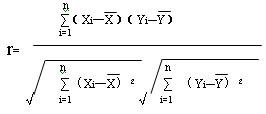
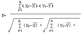
簡單相關係數又稱皮爾遜相關係數,它描述了兩個定距變數間聯繫的緊密程度。樣本的簡單相關係數一般用r表示,
計算公式
其中n 為樣本量, 分別為兩個變數的觀測值和均值。r描述的是兩個變數間線性相關強弱的程度。r的取值在-1與+1之間,若r>0,表明兩個變數是正相關,即一個變數的值越大,另一個變數的值也會越大;若r<0,表明兩個變數是負相關,即一個變數的值越大另一個變數的值反而會越小。r 的絕對值越大表明相關性越強,要注意的是這裡並不存在因果關係。若r=0,表明兩個變數間不是線性相關,但有可能是其他方式的相關(比如曲線方式)。
利用樣本相關係數推斷總體中兩個變數是否相關,可以用t 統計量對總體相關係數為0的原假設進行檢驗。若t 檢驗顯著,則拒絕原假設,即兩個變數是線性相關的;若t 檢驗不顯著,則不能拒絕原假設,即兩個變數不是線性相關的。

