定義
平均數是統計學中最常用的統計量,用來表明資料中各觀測值相對集中較多的中心位置。在畜牧業、水產業生產實踐和科學研究中,平均數被廣泛用來描述或比較各種技術措施的效果、畜禽某些數量性狀的指標等等。
統計平均數是用於反映現象總體的一般水平,或分布的集中趨勢。數值平均數是總體標誌總量對比總體單位數而計算的。
平均數是統計中的一個重要概念。國小數學裡所講的平均數一般是指算術平均數,也就是一組數據的和除以這組數據的個數所得的商。在統計中算術平均數常用於表示統計對象的一般水平,它是描述數據集中位置的一個統計量。既可以用它來反映一組數據的一般情況、和平均水平,也可以用它進行不同組數據的比較,以看出組與組之間的差別。
用平均數表示一組數據的情況,有直觀、簡明的特點,所以在日常生活中經常用到,如平均速度、平均身高、平均產量、平均成績等等。
類型
算術平均數
arithmetic mean
算術平均數是指在一組數據中所有數據之和再除以數據的個數。它是反映數據集中趨勢的一項指標。
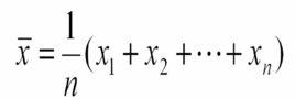
把n個數的總和除以n,所得的商叫做這n個數的算術平均數。
平均數公式:
幾何平均數
geometric mean
n個觀察值連乘積的n次方根就是幾何平均數。根據資料的條件不同,幾何平均數分為加權和不加權之分。
平均數公式:
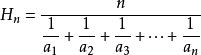
調和平均數
harmonic mean
調和平均數是平均數的一種。但統計調和平均數,與數學調和平均數不同。在數學中調和平均數與算術平均數都是獨立的自成體系的。計算結果兩者不相同且前者恆小於後者。
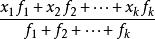
因而數學調和平均數定義為:數值倒數的平均數的倒數。但統計加權調和平均數則與之不同,它是加權算術平均數的變形,附屬於算術平均數,不能單獨成立體系。且計算結果與加權算術平均數完全相等。 主要是用來解決在無法掌握總體單位數(頻數)的情況下,只有每組的變數值和相應的標誌總量,而需要求得平均數的情況下使用的一種數據方法。
平均數公式:
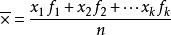
加權平均數
平均數weighted average
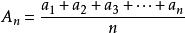
平均數加權平均數是不同比重數據的平均數,加權平均數就是把原始數據按照合理的比例來計算,若 n個數中,x出現f次,x出現f次,…,x出現f次,那么 叫做x、x、…、x的加權平均數。f、f、…、f是x、x、…、x的權。
平均數
平均數公式: ,其中 。f、f、…、f叫做 權(weight)。
平均數是加權平均數的一種特殊情況,即各項的權相等時,加權平均數就是算術平均數。
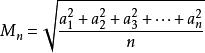
平方平均數
平方平均數是n個數據的平方的算術平均數的算術平方根。
平均數公式:
指數平均數
指標概述
指數平均數[EXPMA],其構造原理是對股票收盤價進行算術平均,並根據計算結果來進行分析,用於判斷價格未來走勢得變動趨勢。
EXPMA指標是一種趨向類指標,與平滑異同移動平均線[MACD]、平行線差指標[DMA]相比,EXPMA指標由於其計算公式中著重考慮了價格當天 [當期]行情得權重,因此在使用中可克服其他指標信號對於價格走勢得滯後性。同時也在一定程度中消除了DMA指標在某些時候對於價格走勢所產生得信號提前性,是一個非常有效得分析指標。
中位數
平均數
平均數
平均數中位數(median)是刻劃平均水平的統計量,設是來自總體的樣本,將其從小到大排序為則中位數定義為:
平均數n為奇數時,
平均數n為偶數時,
性質
1、樣本各觀測值與平均數之差的和為零,即離均差之和等於零。
平均數即用公式表示
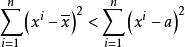
2、樣本各觀測值與平均數之差的平方和為最小,即離均差平方和為最小。
平均數即用公式表示
區別聯繫
聯繫
平均數、中位數和眾數都是來刻畫數據平均水平的統計量,它們各有特點。對於平均數大家比較熟悉,中位數刻畫了一組數據的中等水平,眾數刻畫了一組數據中出現次數最多的情況。
平均數非常明顯的優點之一是,它能夠利用所有數據的特徵,而且比較好算。另外,在數學上,平均數是使誤差平方和達到最小的統計量,也就是說利用平均數代表數據,可以使二次損失最小。因此,平均數在數學中是一個常用的統計量。但是平均數也有不足之處,正是因為它利用了所有數據的信息,平均數容易受極端數據的影響。
例如,在一個單位里,如果經理和副經理工資特別高,就會使得這個單位所有成員工資的平均水平也表現得很高,但事實上,除去經理和副經理之外,剩餘所有人的平均工資並不是很高。這時,中位數和眾數可能是刻畫這個單位所有人員工資平均水平更合理的統計量。中位數和眾數這兩個統計量的特點都是能夠避免極端數據,但缺點是沒有完全利用數據所反映出來的信息。由於各個統計量有各自的特徵,所以需要我們根據實際問題來選擇合適的統計量。
當然,出現極端數據不一定用中位數,一般,統計上有一個方法,就要認為這個數據不是來源於這個總體的,因而把這個數據去掉。比如大家熟悉的跳水比賽評分,為什麼要去掉一個最高分、一個最低分呢,就認為這兩個分不是來源於這個總體,不能代表裁判的鑑賞力。於是去掉以後再求剩下數據的平均數。
需要指出的是,我們處理的數據,大部分是對稱的數據,數據符合或者近似符合常態分配。這時候,均值(平均數)、中位數和眾數是一樣的。
區別
只有在數據分布偏態(不對稱)的情況下,才會出現均值、中位數和眾數的區別。所以說,如果是正態的話,用哪個統計量都行。如果偏態的情況特別嚴重的話,可以用中位數。
除了需要刻畫平均水平的統計量,統計中還有刻畫數據波動情況的統計量。比如,平均數同樣是5,它所代表的數據可能是1、3、5、7、9,可能是4、4.5、5、5.5、6。也就是說5所代表的不同組數據的波動情況是不一樣的。怎樣刻畫數據的波動情況呢?很自然的想法就是用最大值減最小值,即求一組數據的極差。數學中還有方差、標準差等許多用來刻畫數據特徵的統計量。當然這些都是教師感興趣、值得了解的內容,不是國小數學的教學要求。
例題
解題關鍵:找準“總數量”相對應的“總分數”
常用方法:作圖法、假設法
例題如下:
1、 3頭牛和6隻羊一天共吃草93千克,6頭牛和5隻羊一天共吃草130千克。3頭牛一天共吃草多少千克?
正解:45千克
直接求法:利用公式求出平均數,這是由“均分”思想產生的方法。
總數量÷總份數=平均數
基數求法:利用公式求平均數。這裡是選設各數中最小者為基數,它是由“補差”思想產生的方法。
基數+各數與基數的差÷總份數=平均數
2、:李師傅前4天平均每天加工30個零件,改進技術後,第五天加工零件55個,李師傅5天中平均每天加工多少零件?
解答:先算出5天的總零件數:30×4+55=175(個),再求出5天中平均每天加零件的個數。
(30×4+55)÷5=35(個)
3、 四(1)班有學生40人,數學期末考試時有三位同學困病缺考,平均成績是80分。後來這三位同學補考,成績分別為88分、87分和85分,這時全班同學的平均成績是多少分?
正解:(40—3)×80=2960(分)
(2960+88+87+85)÷40=80.5(分)
4、王師傅4天平均加工26個零件,第5天加工的零件數比5天平均數還多4.8個。王師傅第5天加工多少個零件?
解答:設王師傅第5天加工,x個零件。由5天平均數這個“量”可列方程。
X-4.8=26×4+x)÷5
5x-24=104+x
4x=128
X=32
5、一個學生前六次測驗的平均分是93分,比七次測驗的平均分高3分,他第七次測驗得了多少分?
正解:93×6=558(分) 93—3=90(分) 90×7=630(分)
630—588=72(分)
6、小明前幾次數學測驗的平均成績是84分,這一次要考100分才能把平均成績提高到86分。這一次是第幾次測驗?
解答:(100-84)÷(86-84)=8次
7、小松前幾次考試的平均成績是84分,這一次考了94分就把平均成績提高到86分了。這一次是第幾次考試?
正解:(94—84) ÷(86—84)=10÷2=5(次)
8、張明前五次數學測驗的平均成績是88分。為了使平均成績達到92.5分,張明要連續考多少次滿分?(每次測驗滿分是100分。)
解答:(92.5-88)×5÷(100-92.5)=4.5×5÷7.5=3(次)
9、小王前5次數學考試的平均成績是85.8分,為了使平均成績儘快達到90分以上,小王至少還要參加幾次考試?(每次滿分為100分。)
正解:(90—85.8)×5÷(100-90)=4.2×5÷10=2.1

