復相關係數的計算
復相關係數是測量一個變數與其他多個變數之間線性相關程度的指標。它不能直接測算,只能採取一定的方法進行間接測算。
為了測定一個變數y與其他多個變數X1,X2,...,Xk之間的相關係數,可以考慮構造一個關於X1,X2,...,Xk的線性組合,通過計算該線性組合與y之間的簡單相關係數作為變數y與X1,X2,...,Xk之間的復相關係數。具體計算過程如下:
復相關係數第一步,用y對X1,X2,...,Xk作回歸,得:
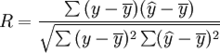
復相關係數第二步,計算簡單相關係數即為y與X1,X2,...,Xk之間的復相關係數。復相關係數的計算公式為:之所以用R表示復相關係數,是因為R的平方恰好就是線性回歸方程的決定係數。這種關係的簡單推導如下:在上面的式子中,分子可化為:
復相關係數從而:復相關係數與簡單相關係數的區別是簡單相關係數的取值範圍是[-1,1],而復相關係數的取值範圍是[0,1]。這是因為,在兩個變數的情況下,回歸係數有正負之分,所以在研究相關時,也有正相關和負相關之分;但在多個變數時,偏回歸係數有兩個或兩個以上,其符號有正有負,不能按正負來區別,所以復相關係數也就只取正值。

