歷史
構想英國物理學家保羅·狄拉克(Paul Dirac)早在1931年利用數學公式預言了磁單極粒子的存在。當時他認為既然帶有基本電荷的電子在宇宙中存在,那么理應帶有基本“磁荷”的粒子存在。從而啟發了許多物理學家開始了他們尋找磁單極粒子的工作。通過種種方式尋找磁單極粒子包括使用粒子加速器人工製造磁單極子均無收穫。1975年,美國的科學家利用高空氣球來探測地球大氣層外的宇宙輻射時偶爾發現了一條軌跡,當時科學家們分析認為這條軌跡便是磁單極粒子所留下的軌跡。1982年2月14日,在美國史丹福大學物理系做研究的布拉斯·卡布雷拉宣稱他利用超導線圈發現了磁單極粒子,然而事後他在重複他先前的實驗時卻未得到先前探測到的磁單極粒子,最終未能證實磁單極粒子的存在。內森·塞伯格(Nathan Seiberg)和愛德華·威滕(Edward Witten)兩位美國物理學家於1994年首次證明出磁單極粒子存在理論上的可能性。
概念
如果我們將帶有磁性的金屬棒截斷為二,新得到的兩根磁棒則會“自動地”產生新的磁場,重新編排磁場的北極、南極,原先的北極南極兩極在截斷磁棒後會轉換成四極各磁棒一南一北。如果繼續截下去,磁場也同時會繼續改變磁場的分布,每段磁棒總是會有相應的南北兩極。不少科學家因此認為磁極在宇宙中總是南北兩極互補分離,成對的出現,對磁單極粒子的存在質疑。也有理論認為,磁單極粒子不是以基本粒子的形式存在,而是以自鏇冰(spin ice)等奇異的凝聚態物質系統中的出射粒子的形式存在。
在經典電磁理論中,磁是由電流和變化的電場產生的,磁南極和磁北極總是同時存在的,不存在磁單極子。1931年P.A.M.狄拉克從分析量子系統波函式相位不確定性出發,得出磁單極子存在的條件,可用以說明電荷量子化這個理論上無法說明的事實。20世紀70年代以後建立起來的大統一理論以及早期宇宙的研究都要求存在磁單極子,磁單極子的質量重達1016吉電子伏特/庫侖2(GeV/C2)。實驗上探測磁單極子成為檢驗粒子物理大統一理論和天體物理宇宙演化理論的重要依據。
儘管對磁單極子的系統研究從1931年就開始了,但到目前為止,還沒有被觀察到,而且非常可能並不存在。然而,有些理論物理學模型則預言了磁單極子的存在。保羅·狄拉克在1931年斷言,因為電場與磁場表現出某種對稱性,就像在量子理論預言的正電荷或者負電荷並不需要相反的電荷存在,獨立的南極或者北極應該也能被觀測到。套用量子理論,狄拉克預言,如果磁單極子如果存在,就可以解釋電荷的量子化--就是為何可以觀察到基本粒子帶電量是電子帶電量的倍數。
一些大統一理論也預言了磁單極子的存在:不同於基本粒子,磁單極子是孤波(局域能量包)。使用這些模型去估計大爆炸中產生的磁單極子的數目,得到的最初結果與對宇宙的觀察結果相矛盾--磁單極子是如此的多而巨大,它們甚至可以阻止宇宙的膨脹。然而宇宙暴漲理論(也是這個理論被提出的原因之一)成功地解決了這問題。這個理論建立了一個模型,使得磁單極子在宇宙中存在,但數量極少的能夠與實際觀測相符合。
磁單極粒子作為物質的基本構成,它的單獨存在可能非常困難,或者可能極其微弱以致無法測量,從二元論的角度分析可能會更合理些,如純的吸引性粒子和純的排斥性粒子,曾經作過廣泛的探查,而且每當粒子加速器開拓新能區或發現新的物質源(例如從月球上取來岩石)都要重新進行磁單極粒子的的搜尋。1982年採用超導量子干涉器件磁強計探測到一起磁單極粒子的事例,但還不足以肯定其存在。
霍爾效應與磁單極子在磁單極粒子的理論研究方面,除狄拉克最早提出的磁單極粒子學說外,還有其他一些科學家也曾提出過多種的學說,各有其特點和根據。如著名的美籍義大利物理學家費米也曾經從理論上探討過磁單極粒子,並且也認為它的存在是可能的。華裔物理學家、諾貝爾物理學獎獲得者楊振寧教授等一些著名的科學家,也從不同方面和不同程度地對磁單極粒子理論做出了補充和完善。它們彌補了狄拉克理論中的一些缺陷和不足,給磁單極粒子的構想輔以更堅實的理論基礎。
在相對論提出之後,發現所謂的磁場,極有可能只是電場的相對論效應。在一個參考系中僅僅存在電場的情況下,在另一個參考系中,卻需要另外引入“磁場”才能描述的原因是:在產生”磁場“的電流中,正負電荷的運動狀態並不相同,在帶電粒子所在參考系中,電荷分布由於相對論效應,發生了變化,讓電荷分布與觀察者所在參考系不同,甚至有淨電荷分布,從而導致粒子受到力的作用,運動狀態發生改變;運動狀態發生改變之後,在帶電粒子所在參考系觀察的所得到的電荷分布也會改變,從而受到的力也在不停隨運動改變。而觀察者所在參考系中,不存在帶電粒子參考系所觀察到的淨電荷分布,所以過去不知道相對論效應的人們引入了磁場來描述運動帶電粒子受到電流的影響。如果磁場確實只是電場的相對論效應,那么從根本上就可能不存在磁單極子,因為連磁場B的引入都是多餘的,B僅僅是一個輔助量。因為不存在磁場,自然也就也就不存在相應的磁單極子了。
電磁理論
電磁感應電磁,電磁,在許多人的印象里,電和磁就像是一對相生相成、形影不離的孿生兄弟,也像是一對親密無間、夫唱妻隨的美滿佳偶。說到電,必然也會說到磁;提到磁,自然也離不開電。如充滿宇宙中的電磁波,它們對於我們來說簡直就是如雷貫耳,因為它們對宇宙天體和生命物質發揮著極為重要的作用,它們就是電性和磁性的統一體。
電和磁確實有許多相似之處:帶電體周圍有電場,磁體周圍也有磁場;同種電荷相斥,同名磁極也相斥;異種電荷相吸,異名磁極也相吸;變化的電場能激發磁場,變化的磁場也能激發電場;用摩擦的方法能使物體帶上電,如果用磁鐵的一極在一根鐵棒上沿同一方向摩擦幾次,也能使鐵棒磁化——物理學家法拉第和麥克斯韋為此創立了“電生磁、磁生電”的電磁場理論。
但是,實際上,就像再美滿恩愛的夫妻也會有性格上的差異和其它方面的不諧調,磁和電這對佳偶也並非是完全對稱的,這種不對稱性不論從巨觀還是微觀上都有所反映。在巨觀上,從地球、月球、行星到恆星、銀河系和河外星系,不可勝數的天體以及遼闊無垠的星際空間,都具有磁場,磁場對天體的起源、結構和演化都有著舉足輕重的影響;可是電場在宇宙空間幾乎無聲無息,對豐富多彩的天文學似乎毫無建樹。而從微觀上看:在磁與電的關係中,磁性是更為本質的東西,我們可以用磁來制約電,卻不能用電來制約磁(用電產生磁,例如電磁鐵,則是另外一回事)。在電現象里,帶電體可分割成單獨帶有正電荷和負電荷的粒子,正、負電荷可以單獨存在;而磁體的兩極總是成對出現,無論磁針被分割成多少部分,無論把它分割得多么小,新得到的每一段小磁鐵總有兩個磁極,長久以來,人們從來沒有發現過單獨存在的磁極——磁單極粒子。
多少年來,人們一直對電、磁這種巨觀和微觀上的不對稱感到困惑不解,特別是為什麼正、負電荷能夠單獨存在,而單個磁極卻不能單獨存在,對此人們更是充滿了諸多的疑問。
那么,磁單極子到底存不存在呢?1931年,著名的英國物理學家狄拉克首先從理論上用極精美的數學物理公式預言,磁單極子是可以獨立存在的。他認為,既然電有基本電荷——電子存在,磁也應有基本磁荷——磁單極子存在,這樣,電磁現象的完全對稱性就可以得到保證。因此,他根據電動力學和量子力學的合理推演,前所未有地把磁單極子作為一種新粒子提出來。以前,狄拉克曾經預言過正電子的存在,並已經為實驗所證實;這一次他的磁單極子假設同樣震驚了科學界。
尋找
歷程
痕跡隨著磁單極粒子的提出,科學界由此掀起了一場尋找磁單極粒子的狂潮。人們絞盡腦汁,採用了各種各樣的方法,去尋找這種理論上的磁單極粒子。
科學家首先把尋找的重點放在古老的地球的鐵礦石和來自地球之外的鐵隕石上,因為他們覺得這些物體中,會隱藏著磁單極粒子這種“小精靈”。然而結果卻令他們大失所望:無論是在“土生土長”的地球物質中,還是那些屬於“不速之客”的地球之外的天體物質中,均未發現磁單極粒子!
高能加速器是科學家實現尋找磁單極粒子美好理想的另一種重要手段。科學家利用高能加速器加速核子(例如質子),以之衝擊原子核,希望這樣能夠使理論中的緊密結合的正負磁單極子分離,以求找到磁單粒極子。美國的科學家利用同步回旋加速器,多次用高能質子與輕原子核碰撞,但是也沒有發現有磁單極子產生的跡象。這樣的實驗已經做了很多次,得到的都是否定的結果。
古老岩石探測和加速器實驗所遭到的挫折,並沒有使科學家們氣餒,反而更加激發了他們的鬥志,並促使他們廣開思路,想到了這也許是因為加速器的能量不夠大的緣故,他們一方面試圖研製出功能更加強大的加速器,一方面把目光投向能量更大的天然的宇宙射線,試圖從宇宙射線中找到磁單極粒子的蹤影。從宇宙射線中尋找磁單極粒子的理論根據有兩方面:—種是宇宙射線本身可能含有磁單極粒子,另一種是宇宙射線粒子與高空大氣原子、離子、分子等碰撞會產生磁單極粒子。他們曾經把希望寄托在一套高效能的裝置上,因為這種裝置可以捕捉並記錄到非常微小、速度非常快的電磁現象。他們期待著利用這套裝置能把宇宙線中的磁單極粒子吸附上,遺憾的是這套裝置也未能使他們如願以償,滿腔希望的他們又遭受了一次沉重的失望的打擊。
但是,科學家們並不因此氣餒和放棄,他們仍在不斷地尋找著機會。人類登月飛行的實現,又重新在科學家心目中燃起了熊熊的希望之火,讓科學家把目光投向那寂靜荒涼的地方,因為月球上既沒有大氣,磁場又極微弱,應該是尋找磁單極粒子的好場所。1973年,科學家對“阿波羅”11號、12號和14號飛船運回的月岩進行了檢測,而且使用了極靈敏的儀器。但出人意料的是,竟沒有測出任何磁單極粒子。
磁單極粒子來源-模型表 磁單極粒子理論自提出以來迄今,已逾半個多世紀,長期不能被證實,也不能被否定,這在科學史上是罕見的,因為一般的科學假設如果在這么長的時間內未被證實,人們就會將此假設否定或放棄。那么,對於經歷了大半個世紀的探尋,基本上可以說是沒有什麼突破性進展的磁單極粒子,人們是否最終也同樣會放棄尋找呢?
實際上,自20世紀30年代以來至今,磁單極粒子一直是物理學家和天文學家的熱門話題,同時也引起了廣大科學愛好者的極大興趣,對它們的尋找就一直沒有停止過。這是因為磁單極粒子複雜的相互作用過程,與目前我們所了解的一般電磁現象截然不同,磁單極子問題不僅涉及物質磁性的一種來源、電磁現象的對稱性,而且還同宇宙極早期演化理論及微觀粒子結構理論等有關。磁單極子的引出對同性電荷的穩定性、電荷的量子化、輕子結構、輕子和強子的統一組成、輕子和夸克的對稱等難題等,都能給以較好的解釋。
儘管迄今為止還沒找到磁單極粒子,但是,在關於磁單極粒子理論研究和實踐探索的半個多世紀中,採用了量子論、相對論和統一場論的複雜理論手段,聯繫到最廣袤的巨觀世界和最細微的微觀世界,涉及到極漫長的和極短暫的時間尺度,它不僅給物理學帶來了活力,而且也向兩極不可分離的哲學信條提出挑戰。
更為重要的是,在具體的對磁單極粒子進行探索過程中,對物理學特別粒子研究技術如加速器的發展,具有很大的促進作用。雖然磁單極粒子假說到現在為止,還沒有能在實驗上得到最後的證實,但它仍將是當代物理學上十分引人注目的基本理論研究和實驗的重要課題之一,因為今天的磁單極粒子已成為解決一系列涉及微觀世界和巨觀世界重大問題的突破口,如果磁單極粒子確實存在,不僅現有的電磁理論要作重大修改,而且物理學以及天文學的基礎理論又將有重大的發展,人們對宇宙起源和發展的認識也會再深入一步。
進展
高能宇宙射線在對磁單極粒子進行尋找的過程中,人們“收穫”到的總是一次又一次地失望。不過,在一次又一次沉重、濃郁的失敗的晦暗中間,也曾不時地閃現過一兩次美妙的希望曙光。
有一些物理學家認為,磁單極粒子對周圍物質有很強的吸引力,所以它們在感光底板上會留下又粗又黑的痕跡。根據這一特點,1975年,美國的一個科研小組,用氣球將感光底板送到空氣極其稀薄的高空,經過幾晝夜宇宙射線的照射,發現感光底板上真的有又粗又黑的痕跡,他們欣喜若狂,於是迫不及待地在隨後召開的一次國際會議上聲稱,他們找到了磁單極粒子。但是,對於那是否真的是磁單極粒子留下的痕跡,會上爭論很大,大多數科學家認為那些痕跡很明顯是重離子留下的,但試驗者還是堅持認為那是磁單極粒子留下的“傑作”。雙方為此展開了激烈的爭論,誰也說服不了誰。所以,到目前為止,這些痕跡到底是誰留下的,還是樁難以了斷的“懸案”。
1982年,美國物理學家凱布雷拉宣布,在他的實驗儀器中發現了一個磁單極粒子。他採用一種稱為超導量子干涉式磁強計的儀器,在實驗室中進行了151天的實驗觀察記錄,經過周密分析,實驗所得的數據與磁單極粒子理論所提出的磁場單極粒子產生的條件基本吻合,因此他認為這是磁單極粒子穿過了儀器中的超導線圈。不過由於以後沒有重複觀察到類似於那次實驗中所觀察到的現象,所以這一事例還不能確證磁單極粒子的存在。
最近,一組由中國、瑞士、日本等多國的科學家組成的研究小組報告說,他們發現了磁單極粒子存在的間接證據,他們在一種被稱為鐵磁晶體的物質中觀察到反常霍爾效應,並且認為只有假設存在磁單極粒子才能解釋這種現象。
德國柏林亥姆霍茲材料與能源研究中心與來自德勒斯登、聖安德魯斯、拉普拉塔和牛津的研究人員在2009年於柏林進行的中子散射實驗中,找到了自鏇冰中磁單極子的類似物,但這並非狄拉克所預言的基本粒子。
觀點
研究對磁單極粒子的存在持否定態度的科學家大有人在,他們提出了這樣或那樣的理由加以論證,而其中最主要的理由就是:鳥過留聲、獸過留痕,如果磁單極粒子確實在宇宙中存在,它就總會留下蛛絲馬跡,但迄今為止,人們用最先進的方法和最精密的儀器,在各種物質中尋找磁單極粒子,都一無所獲。因此可以認為,它們可能根本就是一種僅僅存在於人們主觀想像中的子虛烏有的產物。
在19世紀末20世紀初,還曾有科學家用以太學說來否定磁單極粒子的存在:在人們能夠用光學方法探測到的太空中,瀰漫著一種被稱為以太的物質。由於以太的特殊性質,它們在太空中是以一種渦鏇的狀態分布的,很明顯,宇宙中存在著大大小小的以太鏇渦。因為鏇渦是一種轉動,這種鏇渦不論大小,轉動的東西一定有一個轉軸。以太的鏇渦實質上就是磁場,一個轉軸有必定有兩端,也就是有兩個極,不存在只有一個端的轉軸,所以就不存在磁單極粒子。但是,這一說法隨著以太學說的被拋棄而歸於銷聲匿跡。
還有人這樣認為:“電場”和“磁場”是電荷和磁體四周存在著看不見、摸不著的物質。電荷和磁體通過各自的“場”這種物質向另外的電荷和磁體施加作用,同時場還表達了電力或磁力作用的範圍;電力和磁力的無形的作用線分別稱為“電力線”或“磁感應線”。因為電荷電場的電力線不是閉合的,它起源於正電荷,終止於負電荷,或延伸至無限遠,它在電荷處是不連續的;而磁體磁場的磁感應線永遠是閉合的,它在磁體內部和外部處處連續。實驗中從來未見到過單個的磁極或磁荷,也從來未發現不閉合的磁感應線。所以,在經典電磁理論中,磁單極粒子存在的可能性就根本被排除了。正是由於上述原因,十分強調對稱性的英國物理學家麥克斯韋在建立經典電磁理論的時候,雖然為了對稱性也考慮過磁單極粒子,但是最終還是未敢貿然將它引入它的理論中。因此,這種不對稱性在經典電磁理論中就一直保留到今天。
其中特別應該指出的是,就連到了晚年的狄拉克本人,也對磁單極粒子是否存在產生了深深的懷疑。1981年,他在致一位友人的信中說:至今我已是屬於那些不相信磁單極粒子存在之列的人了。因此,持否定觀點的人還認為,應儘早放棄對磁單極粒子的尋找,因為這種尋找無異於緣木求魚,只能是徒勞無功的。
如果磁場確實只是由於人們最先不知道相對論及其效應才引入的輔助量,那么實際上就不存在磁場,那么也就根本不存在磁荷,磁單極子自然也就找不到了。
肯定磁單極粒子存在者中,不乏非常傑出的物理學家。他們堅持認為,磁單極粒子是存在的,但它們成對結合得太緊密了,現在所有的高能粒子尚不能把它們轟開。但是,他們也認為,有一點是可以肯定的,這就是磁單極粒子即使存在,它們也極可能是在宇宙形成初期產生的,殘存下來的數量也是微乎其微的,因為假如宇宙間充滿了大量磁單極粒子,則宇宙間的磁場將不復存在。這些磁單極粒子本來就很少,而且它們又散布在極其廣袤的宇宙之中,所以要找到它不是很容易的。但是,如果磁單極粒子含量很少,那么正負磁單極粒子之間相互湮沒的幾率也同時就會很低,所以它們就更有可能被保存下來。
也有的科學家首先肯定磁單極子的存在,但同時又承認磁單極粒子實際上很難發現。他們的理由是:在人類觀測所及的範圍內,存在的大多數磁單極粒子應是屬於一種運動速度極其緩慢、“惰性”很強的“慢磁單極子”,而那些“精力充沛”、“運動神速”的“快磁單極子”,早已飛離銀河系,消失在無邊無際的宇宙空間。但“慢磁單極”粒子對物質電離作用很弱,要想觀察到它們,需要有比現在裝置靈敏度高上萬倍的探測器才可以,而以目前的科技水平,這樣的探測器暫時還無法製造出來。
有的科學家甚至還推算出了磁單極粒子的質量,證明了磁單極粒子質量大得驚人,約為質子質量的1億億倍,比細菌還要大!所以他們進一步認為,無論是現代加速器還是高能宇宙射線,都不能產生如此大質量的粒子,僅在宇宙誕生即宇宙大爆炸時,才有磁單極粒子生成所需的極高的溫度和極大的能量密度條件。
特別值得一提的是,科學家雖然在實驗上尋找磁單極粒子時總是“掃興而歸”,但在預言磁單極粒子存在的理論卻不斷有創新。如海嘯是一種駭人的自然現象,它常常導致海洋中產生一種異常穩定的孤立波,即孤立子。這種孤立子在波濤洶湧的大海中幾乎不受其它任何外來事物的干擾,永葆自己的波形和能量,不停地湧向遠方。前蘇聯物理學家鮑爾雅科夫和荷蘭科學家特霍夫脫在對弱力和電磁力的關係進行研究時發現,在弱電場(弱力和電磁力是這種場的不同表現)中,會發生“場嘯”,每次場嘯將產生與孤立子類似的粒子,他們認為這種粒子極有可能就是磁單極粒子。
持肯定觀點的科學家都一致認為:雖然磁單極粒子非常少,但考慮到它對物理學所產生的巨大影響,完全值得不遺餘力地去尋找。兩種觀點激烈交鋒,可謂是誰也說服不了誰。
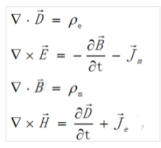
麥克斯韋方程
麥克斯韋方程可以證明,對上式進行適當的坐標變換並令Jm和Pm均等於0,可以推導出無磁單極子存在時的麥克斯韋方程組。因此,磁單極子並不違背麥克斯韋方程組的正確性。
影視作品
日本特攝片《蓋亞奧特曼》裡面出現的一隻怪獸莫奇安,就是一隻磁力單極子怪獸。
2012年動漫機器人筆記(Robotics;Notes)中,主人公曾拾到過來自太空的磁單極體,以此設計出磁單極體電機,而使機器人獲得更強大動力。

