簡介
物體所帶電荷量不可能連續地取任意量值,而只能取電子或質子電荷量的整數倍值。電荷量的這種只能取分立的、不連續量值的性質,稱為電荷的量子化。
電荷量子化公式:(n=1,2,3...)。
e=1.602×10 C。
巨觀現象中,帶電粒子數目巨大,電荷量子化體現不出來。
電荷量子化是個實驗規律。
背景
1906-1917年,密立根(R.A.millikan)用液滴法首先從實驗上證明了,微小粒子帶電量的變化不連續,它只能是元電荷e的整數倍,即粒子的電荷是量子化的。
電荷
實驗證明,自然界只存在兩種電荷,分別稱為正電荷和負電荷。
同種電荷互相排斥,異種電荷互相吸引。
電荷守恆定律
在一個與外界沒有電荷交換的系統內,無論進行怎樣的物理過程,系統內正、負電荷量的代數和總是保持不變。
巨觀過程、微觀過程都成立。
電荷具有相對論不變性。
磁單極與電荷量子化
電荷量子化是物理學中的一個奧秘,而磁單極的引入對此可提供一個解釋。磁單極是在研究電磁場的奇異性與帶電粒子波函式的相位關係時而提出的。
電荷量子化
電荷量子化對偶原理在電磁理論中的套用是允許的,那么按對偶原理引入磁單極後,對磁流形成的電場用一個矢勢A來描述也就是自然的了。引入矢勢A後,由於,因而由來定義A則一定是不行的。由於在量子力學中用勢來討論問題是十分方便的,因為勢引入的規範變換對波函式只需附加一個相位因子,且在量子力學中出現於波方程式的不是E及H而是勢A及φ,因此需引入一個帶有奇異弦的奇異場。
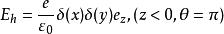
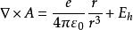
電荷量子化
電荷量子化由點電荷的電場E= r/(4πεr3)而引入的矢勢A有奇性,若令奇性場為,則。引入Dirac奇異弦,即
電荷量子化
電荷量子化則。
求得
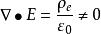
電荷量子化
電荷量子化由此得知在-z軸上有一奇異弦,其場強由上式規定,此即Dirac單弦奇異勢。由於E本身是不帶奇異性的,因此奇異弦是非物理性的。
考察一個磁單極子在電子場中的運動,根據奇異場的非物理性,從量子論的觀點來看,若要使奇異場對電子的運動狀態不起作用,則必須使磁單極子的波函式(設與電子的波函式有相同的形式)的位相繞奇異弦一周的迴路積分為2π的整數倍,否則就會產生物理效應。
對於一個在電場中運動的磁單極子g,在穩定情況下所具有的電場動量可由對偶變換得到,即
電荷量子化式中的負號對所討論的問題無影響,故在以後的計算中不予考慮。由此在電場中運動的磁單極子的波函式應在相位上多一項gA/(c t),因此環繞奇異弦一周造成的相位差:
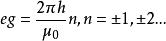
電荷量子化將單弦奇異勢代入上式積分得
電荷量子化要使奇異弦對波函式的狀態不產生實質性的影響,必須
電荷量子化即
電荷量子化此即Dirac量子化條件,這樣,量子化條件不僅保證了奇異場不產生物理效應,而且自然地得出了重要結論:只要有磁單極存在,則電子的帶電量是量子化的;反之,只要電荷是量子化的,則磁單極的磁荷也是量子化的。
當然,不一定非要引入磁單極才有奇異弦,由A-B效應可知,磁通相當於一奇異弦,從而由量子化條件出發可知電荷是量子化的。事實上,從對偶關係可以看出,電荷與磁荷的量子化問題是一個互定的關係,只要能確定其中一個是量子化的,則另一個的量子化就確定無疑了。
