簡介
發展方程(Evolution Equation),又稱演化方程或者進化方程。廣義的說,是包含時間變數t的許多重要的物理偏微分方程的統稱。在物理、力學或其他自然科學中用來描述隨時間變化的狀態或過程。狹義的說,它是指可以用半群方法化為一個Banach空間中的抽象常微分方程的Cauchy問題來處理的那些數學物理方程、波動方程、熱傳導方程、Schrodinger方程、流體動力學方程組、KdV方程、反應擴散方程等等以及這些方程通過適當的方式耦合起來的耦合方程組,都屬於發展方程的範疇。
分類
發展方程包括線性發展方程和非線性發展方程。
線性發展方程
對線性發展方程,我們知道,只要初值適當光滑,其Cauchy問題的解也必然具有適當的光滑性,而且在整個半空間t≥0上是整體存在的,作為一個最簡單的例子,對下述Cauchy問題:
發展方程
發展方程易知其解為如下的右傳播:
發展方程顯然,此解在t≥0上(實際上還在整個(t,x)平面上)是整體存在的,而且和初值有同樣的正規性。
非線性發展方程
但對於非線性發展方程就不同了,一般來說,非線性發展方程的Cauchy問題的整體經典解通常只能在t的一個局部範圍中存在,即使對充分光滑甚至還充分小的初值也是如此;相應的,解在有限時間內會失去正規性,而產生奇性(解本身或其導數趨於無窮),這一現象稱為解的破裂(blow up)。為了說明這一點,給出下面的例子:
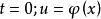
先看非線性常微分方程的情形,考察如下的Riccati方程的Cauchy問題
發展方程
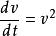
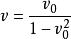
發展方程易知其解為
發展方程
發展方程
發展方程
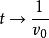
發展方程於是若,就有當時,有,從而發生解的破裂,而不能在t≥0上整體存在,這時,只能在時間區間[0,1/v)上得到Cauchy問題的局部解。
分析
上面這兩個簡單的例子表明,對非線性發展方程的Cauchy問題或混合初-邊值問題,即使初值充分光滑(甚至充分小),其經典解的整體存在性一般是無法保證的,這是非線性發展方程區別於線性發展方程的一個重要特定。
但另一方面,在一些特殊的條件下,對非線性發展方程仍然可以得到整體經典解。同時,對非線性發展方程而言,應該考察下面兩方面相輔相成的問題:
發展方程(1)在什麼條件下,所考察的非線性發展方程的定解問題(包括Cauchy問題,各種混合初-邊值問題及自由邊界問題......)存在著唯一的整體經典解。並在此基礎上研究解的整體性態,特別是當時的漸進性態。
(2)在什麼條件下,所考察的非線性發展方程的定解問題不存在整體經典解,而必在有限時間內發生解的破裂現象。並在此基礎上能深入考察解在破裂點的性態,例如究竟是解的本身還是某一階偏導數首先發生破裂,解在破裂點的奇性特徵以及破裂點集的性質等等。

