基本概念
被開方式中含有未知數的方程是 無理方程,無理方程的 一般解法是把方程有理化,轉化為有理方程求解。
①移項平方:將根號移向一邊,其餘均在另一邊,平方即去掉根號,轉成整式方程;
②解整式方程;
③代回原方程驗證,滿足定義域即可,反之舍掉。
無理方程
無理方程
無理方程
無理方程
無理方程
無理方程
無理方程
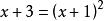
無理方程注意點: 求 定義域要考慮兩方面:根號下非負,移項後左右兩邊均非負。即如 ,移項後得 平方去根號得 ,所以 ,所以得 故 其 定義域應滿足 ,即 ,原方程的根只有一個,即1。
無理方程的辨別
判斷一個方程是否是無理方程,只看形式上是否同時符合無理方程定義中的兩個條件:①含根式;②被開方數中含有未知數。
判斷無理方程有無實根
例1下列無理方程中,有實數解的是( )。
無理方程
無理方程① ②
無理方程
無理方程③ ④
無理方程
無理方程⑤ ⑥
解: 第①小題,方程左邊大於等於0,而右邊小於0.所以無解。
第②小題,兩邊平方可求得方程的根為x=2;
無理方程
無理方程
無理方程第③小題,解無理方程是在實數範圍內進行,故要使二次根式有意義,須且只能等於2,因而方程左邊等於0,而右邊等於1,兩邊不等,所以無解。
無理方程
無理方程
無理方程第④小題,同第③小題,要使根式有意義,只能等於2,而當時,方程左右兩邊相等,因而方程有解。
無理方程第⑤小題,根據實數的非負性,可求得
無理方程
無理方程
無理方程
無理方程第⑥小題,同第③小題.要使二次根式有意義,有且即且所以無解。
所以,有實數解的是②④⑤。
注意: 判斷一個無理方程無解的方法主要是藉助兩個實數的非負性,即(二次)根式的被開方數非負(內非負),如⑥;二次根式的值非負(外非負),如①、③用到了內非負,但也用到了別的原則。
無理方程解法詳述
解無理方程的基本思想和步驟:
無理方程的解法,主要是運用“ 化歸的數學思想”將它化為 有理方程,基本方法是“兩邊平方”,這一步不是同解變換,所以 必須驗根.有時還用“ 換元法”和其他一些技巧。後面將要提到的換元法、觀察法等,實際上最後都離不開“兩邊平方”。
“兩邊平方”法
“兩邊平方”法一般步驟:
①兩邊平方,把原方程化為有理方程;
④解這個有理方程,
③驗根並作答:將解得的根代入原無理方程檢驗。
(2) 驗根問題:
無理方程無理方程的驗根和分式方程不同.驗根時不但要將它代入根式內,檢驗被開方是否非負; 還要代入整個方程,檢驗它是否適合等式.例如下列例題的第(1)小題,代入根式是有意義的,但代入方程,兩邊不相等,所以還是增根。
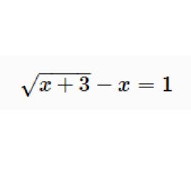
無理方程例2 解下列關於的無理方程:
無理方程
無理方程
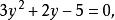
無理方程解: (1)兩邊平方,整理得
無理方程解得
無理方程經檢驗,代入方程中不合理,故是原方程的增根,捨去。
無理方程所以,原方程的根是
無理方程(2)兩邊平方,整理得
無理方程
無理方程或
無理方程解得
無理方程經檢驗,是原方程的增根,捨去。
無理方程所以,原方程的根是。
換元法
無理方程例3 解方程:。
無理方程
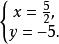
無理方程解: 設,則原方程可變成
無理方程
無理方程
無理方程
無理方程(1)當時,所以無解。
無理方程
無理方程(2)當時,
無理方程
無理方程
無理方程
無理方程經檢驗都是原方程的根,所以原方程的根為。
這是解無理方程的第二種解法—— 換元法。
用換元法解無理方程的一般步驟:
(1) 觀察、分析方程的特點,尋求換元簡捷途徑,設輔助未知數,並用含輔助未知數的代數式去表示方程中另外的代數式去表達方程中另外的代數式;
(2) 解所得到的關於輔助未知數的新方程,求出輔助未知數的值;
(3) 把輔助未知數的值代入原設中,求出原方程未知數的值;
(4) 檢驗並作答。
換元法通常用於用“兩邊平方”法無法解決或難以解決的時候(得到的有理方程是高次方程),也常用於“兩邊平方”法雖可以解決,但比較繁瑣的情形。
無論用什麼方法解無理方程, 驗根都是必不可少的重要步驟。

