基本信息
方法
迴路電流法迴路電流法,以迴路電流為未知量,根據KVL列出獨立迴路的電壓方程,然後聯立求解的方法。
迴路電流是根據電流連續性原理假設的一種沿迴路流動的電流。它一定滿足KCL(見基爾霍夫定律)在一個支路數為b、結點數為n的電路內,沿所選定的(b-n+1)個獨立迴路流動的迴路電流是獨立的,所以用此法計算電路需要建立(b-n+1)個以迴路電流為未知量的獨立方程。 獨立迴路是指該迴路中的KVL方程線性無關,在電路計算中通常取電路的基本迴路(當電路是平面網路,則常取其網孔)作為獨立電路。
特點
1、主要針對支路比較多的電路。
2、和支路電流法相比,列出的方程明顯減少,利於計算。
3、多個迴路電流流過的電阻,在每個迴路方程中要得到體現,這就是迴路電流法的著重注意點。
4、如R為迴路1和迴路2共同電阻,那么列迴路2方程時需要減去R與迴路1電流的乘積。
求解方程
步驟
迴路電流法中列寫方程的依據仍然是基爾霍夫定律和支路性質對支路電壓和支路電流的約束。列寫的具體步驟為:
①選定各支路電流和支路電壓的參考方向,並對節點和支路進行編號;根據規定選出電路的一組基本迴路並對它們進行編號;最後,規定各迴路的繞行方向,同時把這個方向也作為迴路電流的方向。
②對基本迴路列寫出 KVL方程。
③寫出表達支路電流與迴路電流之間關係的方程。這種方程亦稱 KCL方程。
④寫出各支路的支路方程。
⑤將第3步中的KCL方程代入第4步中的支路方程,消去支路電流後得出支路電壓改由迴路電流表達的新支路方程。
⑥將第 5步得到的新支路方程代入第2步的KVL方程,消去支路電壓,得到的便是此法所需要的方程。按上述步驟得出的方程稱為電路的迴路方程。
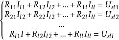
方程的標準形式
迴路電流法式中R(i=1,2,…,l)是迴路i中的所有電阻之和,稱為迴路i的自電阻;R(i、j=1…l,i≠j)是迴路i與迴路j 所共有的電阻(互電阻),在迴路電流I與電流I在共有支路中方向相反時,還應乘以-1;V是迴路i中各電動勢的代數和。
掌握了通用迴路方程的形式和內容,可以很快地直接憑觀察寫出一個電路的迴路方程。
求解舉例
基本的迴路電流法
圖1.4已知圖1.4電路結構,其中電阻單位為歐姆。求R4中的電流I。
注意:選擇自然網孔作為獨立迴路,已標於圖中。 分析:該電路是具有3個獨立迴路的電路, 無電流源和受控電源, 可在選取獨立迴路的基礎上直接列出標準的迴路方程求解,方程左、右的規律由KVL決定,選獨立迴路的方法不限。本題可選取網孔為獨立迴路。
(2+4+6)I-6I=16-48+32
-6I+(6+3+8)I-8I=48
-8I+(8+5+3)I=0 解得:I=2.4 A
含有無伴電流源的迴路電流法
當有一理想電流源串聯在支路中時,獨立迴路選取的原則是讓理想電流源所在的支路在且僅在一個選取的獨立迴路中,這樣理想電流源支路只有一個迴路電流流過,該迴路電流即為理想電流源的值,是已知的,這樣未知量便少一個,所需列的 KVL 方程也可以少一個,選哪些迴路列 KVL 方程呢 ? 因為電流源兩端的電壓與該元件本身無關,是由外電路決定的.故無法用設定的未知量表達其兩端的電壓,所以列 KVL 方程時,要避開有理想電流源的獨立迴路來列 KVL 方程。
圖1.5電路結構如圖,其中電阻單位為歐姆。 求:電壓U。
分析:該電路中含有理想電流源,不能用常規迴路電流法列出標準方程,一般採用虛假的迴路電流法,即設包含有電流源的電流為迴路電流;或增加電流源兩端的電壓為獨立變數,再按KVL列出獨立迴路的電流方程進行求解。本題採用前者進行求解,獨立迴路的選擇方法已標在圖上。
方程式及結果如右:
I=3
-8I+(2+8+40)I-40I=136
-10I-40I+(40+10)I=-50 解得:U=80V
含有受控源的迴路電流法
圖1.6電路結構如圖,其中電阻單位為歐姆。求控制變數U1。
分析:該電路中含有VV,除列出獨立迴路的方程外,還必須補充相應的方程,補充方程的原則是:將控制變數用已選定的迴路電流來表示。補充方程的個數等於受控源的個數。本題採用虛假的迴路電流法。
方程式及結果如下:
(15+10)I+10I-10I=-3U
I=6
-10I-(2+3+10)I+(10+1+2+3)I=3U
補充方程:U=-15I 解得:U=30V
套用範圍
迴路電流法也會遇到難以處理的支路。這種支路有僅含獨立電流源、僅含流控電流源和僅含流控非線性元件的支路。遇到僅含獨立電流源的支路可用電源轉移的辦法(見電路變換)將它移走。遇到後兩種支路,最好改用其他方法。
有了迴路方程後,便可解方程求出迴路電流,再通過迴路電流求出支路電流和支路電壓。
從數字運算上來看,迴路電流法因聯立求解的方程數少而優於支路電流法。但此法與結點電壓法孰優孰劣則視基本迴路數與結點數多少而定。結點數多時本法為優,基本迴路數多時則相反,當二者的數目相近時兩種方法皆可用。在電路分析的電腦程式中,由於用此法要先尋一組獨立迴路,就不如結點電壓法方便了。

