基本介紹
在給定的線性空間中,可以引進一個凸錐來規定一種序關係。這是討論線性空間中不等式關係的一個必不可少的前提。
正錐
正錐
正錐
正錐
正錐
正錐
正錐定義 設X是一個線性空間,P足X中的一個凸錐,並且對於任意的 與 ,若 ,則記為 。對於這樣的P稱為X中的一個 正凸錐,有時簡稱為 正錐;若令 ,則稱N為X中的 負凸錐,簡稱為 負錐。顯然,若 ,則有 。
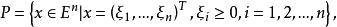
正錐例如,在 中凸錐
正錐
正錐
正錐它定義了E 中的正卦限;又例如,在區間 上所有函式構成的線性空間中,其凸錐自然可以定義為 上的所有非負函式構成的集合。
正錐與凸映射
很容易驗證,上述定義中的序關係,滿足以下三條性質:
正錐1.自反性 。
正錐
正錐
正錐2.傳遞性 若 ,又 ,則 。
正錐
正錐
正錐3.對稱性 若 ,又 ,則 。
如果在X中定義了序關係“≥”,並且滿足上述三條公理,那么就稱在X中 用正錐P定義了偏序關係。對於偏序關係我們需注意,在X中並非任意兩個元素都是可比的,所以才稱之為偏序。
正錐在賦范線性空間中,有時用閉凸錐來定義正錐具有特殊的意義。另外,如果x是正錐P的一個內點,那么可以把它記為 。對於許多套用問題,為了能夠使用凸集分離定理,P至少要有一個內點,這是必不可少的條件。
正錐給定一個賦范線性空間X與一個正凸錐 ,還可以在其對偶空間X*中定義一個對應的對偶正凸錐
正錐
正錐
正錐對此, ,又可以記作 。
正錐
正錐即使P不一定是閉的,而 卻總是閉的。如果P是閉的,那么在P與 之間有下列關係:
正錐
正錐
正錐命題1 設X是一個賦范線性空間,P是X中的正凸錐,並且P是閉的。若x∈X,對於所有的 ,滿足 則 。
正錐
正錐
正錐
正錐
正錐
正錐
正錐
正錐證明: 用反證法假設不成立,即,那么根據凸集分離定理,即知存在一個閉超平面,亦即有界線性泛函,使得對於所有的p∈P,由於P是閉的,應有。由於P是X中的凸錐,所以,所以特別有,此與命題之假設不符。故必有,即。
正錐
正錐
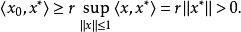
正錐命題2 設X是一個賦范線性空間,P是X中的正凸錐,若 ,則對於所有非零的 ,有 。
正錐
正錐
正錐
正錐
正錐
正錐
正錐
正錐證明:由於是P的內點,所以存在一個以為中心,以r>o為半徑的閉球,即當時,有。由於,所以,即。從而根據範數的定義,有
正錐以上,我們已經推廣了向量不等式的概念,這就有可能使我們引進關於映射的凸性定義。
正錐定義 設X是一個線性空間,Z也是一個線性空間,在Z中具有正凸錐P。若映射 ,G的定義域是Ω,Ω是X中的凸集,並且對於所有的x,x∈Ω以及α∈ [0,1],有
正錐則稱G是一個 凸映射。

