定義
次微分
次微分設是一個實變數凸函式,定義在實數軸上的開區間內。這種函式不一定是處處可導的,例如絕對值函式。但是,從右面的圖中可以看出(也可以嚴格地證明),對於定義域中的任何x,我們總可以作出一條直線,它通過點(x,f(x)),並且要么接觸f的圖像,要么在它的下方。這條直線的斜率稱為函式的次導數。
凸函式f:I→ R在點x的次導數,是實數c使得:
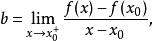
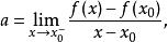
次微分對於所有I內的x。我們可以證明,在點x的次導數的集合是一個非空閉區間[a,b],其中a和b是單側極限
次微分
次微分它們一定存在,且滿足a≤b。
所有次導數的集合[a,b]稱為函式f在x的次微分。
例子
概述
次微分考慮凸函式 。在原點的次微分是區間[−1, 1]。 x<0時,次微分是單元素集合{-1},而 x>0,則是單元素集合{1}。
單元素集合
數學上, 單元素集合是由唯一一個元素組成的集合。例如,集合 {0} 是個單元素集合。注意,集合諸如 {{1,2,3}} 也是單元素集合,唯一的元素是一個集合(這個集合可能本身不是單元素集合)。
一個集合是單元素集合,若且唯若它的勢為1。在自然數的集合論定義中,數字 1 就是定義為單元素集合 {0}。
在公理集合論中,單元素集合的存在性是空集公理和對集公理的結果:前者產生了空集{},後者套用於對集 {} 和 {},產生了單元素集合 {{}}。
若A是任意集合,S是單元素集合,則存在唯一一個從A到S的函式,該函式將所有A中的元素映射到S的單元素。
在範疇論中,單元素集合上構建的結構通常作為終對象或零對象:
•上述說明所有單元素集合S都是集合範疇的終對象。該範疇中沒有其它終對象。
•任意單元素集合都能夠轉化成拓撲空間(所有子集都是開集)。這些單元素拓撲空間是拓撲空間範疇的終對象。該範疇中沒有其它終對象。
•任意單元素集合都能夠轉化成群(唯一的元素作為單位元)。這些單元素是群範疇的零對象。群範疇中沒有其它零對象或終對象。
性質
•凸函式在x可導,若且唯若次微分只由一個點組成,這個點就是函式在x的導數。
•點x是凸函式f的最小值,若且唯若次微分中包含零,也就是說,在上面的圖中,我們可以作一條水平的“次切線”。這個性質是“可導函式在極小值的導數是零”的事實的推廣。
次微分次梯度
次微分次導數和次微分的概念可以推廣到多元函式。如果 是一個實變數凸函式,定義在歐幾里得空間 R內的凸集,則該空間內的向量 v稱為函式在點 x的次梯度,如果對於所有 U內的 x,都有:
次微分
次微分所有次梯度的集合稱為次微分,記為。次微分總是非空的凸緊集。
歐幾里得空間
歐幾里得幾何是在約公元前300年,由古希臘數學家歐幾里得建立的角和空間中距離之間聯繫的法則。歐幾里得首先開發了處理平面上二維物體的“平面幾何”,他接著分析三維物體的“立體幾何”,所有歐幾里得的公理被編排到幾何原本。
這些數學空間可以被擴展來套用於任何有限維度,而這種空間叫做 n維歐幾里得空間(甚至簡稱 n 維空間)或 有限維實內積空間。
這些數學空間還可被擴展到任意維的情形,稱為 實內積空間(不一定完備),希爾伯特空間在高等代數教科書中也被稱為歐幾里得空間。 為了開發更高維的歐幾里得空間,空間的性質必須非常仔細的表達並被擴展到任意維度。 儘管結果的數學非常抽象,它卻捕獲了我們熟悉的歐幾里得空間的根本本質,根本性質是它的平面性。 另外儲存在其他種類的空間,例如球面非歐幾里得空間,相對論所描述的四維時空在重力出現的時候也不是歐幾里得空間。
緊空間
在數學中,如果歐幾里得空間 R的子集是閉合的並且是有界的,那么稱它是 緊緻的。例如,在 R中,閉合單位區間[0, 1]是緊緻的,但整數集合 Z不是(它不是有界的),半開區間[0, 1)也不是(它不是閉合的)。
更現代的方式是稱一個拓撲空間為 緊緻的,如果它的開覆蓋都有有限子覆蓋。海涅-博雷爾定理證明了這個定義對歐幾里得空間子集等價於“閉合且有界”。
注意:某些作者如布爾巴基使用術語“ 預緊緻”,並把“緊緻”保留給是豪斯多夫空間並且“預緊緻”的拓撲空間。一個單一的緊緻集合有時稱為 緊統(compactum)。在法語的數學著作中,quasi-compact是指緊緻,compact是指緊緻且豪斯多夫,不同於英語。
參見
•弱導數
•弱微分
