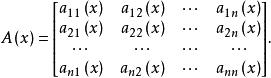
定義
線性微分方程組是具有完整構造性質和廣泛套用的一類常微分方程組,如果方程組
線性微分方程組
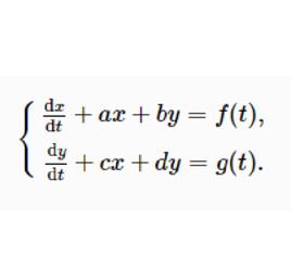
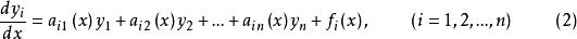
線性微分方程組的左端各函式包含的各未知函式及其各階導數都是一次的,則稱方程組(1)為 線性微分方程組。如果線性微分方程組中各未知函式的導數均為一階的,則稱為 一階線性微分方程組。其一般形式可寫為
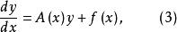
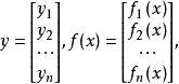
線性微分方程組為簡便計,(2)可寫為向量形式
線性微分方程組式中
線性微分方程組
線性微分方程組
線性微分方程組
線性微分方程組方程組(2)或(3)亦可稱為 n階線性微分方程組(注意方程的階與方程組的階的定義),在(2)及(3)中,若 ,則稱為 齊次線性微分方程組;若相應的 ,則稱為 非齊次線性微分方程組。
注意點: 一般地,線性微分方程組均可化為一階線性微分方程組的典則形式。
一階線性微分方程組
因為常微分方程的所有數值算法都是以一階微分方程組為求解對象的,而任何階的常微分方程都可轉化為一階微分方程組的形式,故需要學習一階微分方程組的解法。可使用求解代數方程組的高斯消元法求解一階微分方程組。
高斯消元法是求解線性方程組直接法中最常用和最有效的方法之一,其基本思想就是逐次消去一個未知數,使方程變換為一個等價方程組,然後求解該等價方程組,通過回代得到的解,再求解原方程的解。下面以例題介紹一階線性微分方程組的解法。
例題1 解一階微分方程組。
線性微分方程組
線性微分方程組
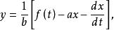
線性微分方程組解:該一階線性微分方程組含有自變數t,兩個因變數 和 ,不能直接分離變數。故使用 高斯消元法求解該方程組。從第一個方程解出y得
線性微分方程組對t求導得
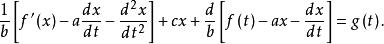
線性微分方程組代入第二個式子得
線性微分方程組
線性微分方程組即消元得到不含因變數 的二階線性微分方程
線性微分方程組
線性微分方程組使用求解二階線性微分方程的方法求解二階線性微分方程,解出後代入式 ,可解出y。
高階常係數線性微分方程組
常係數線性微分方程組的求法:
(1)從方程組中消去一些未知函式及其各階導數,得到只含有一個未知函式的高階常係數線性微分方程。
(2)解此高階微分方程,求出滿足該方程的未知函式。
(3)把已求得的函式代入原方程組,一般來說。不必經過積分就可求出其餘的未知函式。
例題2 解方程組
線性微分方程組
線性微分方程組
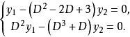
線性微分方程組解:用消元法求解該方程組,消去較為簡便。用乘第一個式子與第二個式子相加,得
線性微分方程組
線性微分方程組求解上式的特徵方程,得到
線性微分方程組解得
線性微分方程組把上式代入第一個式子即求出
線性微分方程組
