簡介
周期係數線性微分方程組是一類有重要套用背景的線性方程組。
周期係數線性微分方程組
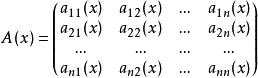
周期係數線性微分方程組設方程組的係數矩陣對x有周期ω,則方程稱為周期係數線性方程。
變換
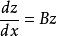
周期係數線性微分方程組方程可變換為常係數線性方程組。
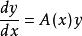
周期係數線性微分方程組設Y(x)是方程的基本解矩陣,則Y(x+ω)也是方程的基本解矩陣,故有Y(x+ω)=Y(x)C,C是非奇異方陣。由線性代數知存在方陣B使C=e 。令P(x) =Y(x)e ,P(x)也有周期。在方程中做變換y=P(x)z,則z將滿足常係數線性方程組。
特徵指數
周期係數線性微分方程組
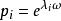
周期係數線性微分方程組C的特徵根p與B的特徵根λ之間存在關係式,p稱為方程的特徵乘數,λ稱為方程的特徵指數。
