基本信息
有機磷中文名稱:有機磷
英文名稱:organicphosphorus
定義:土壤、植物和肥料中與碳結合的含磷物質的總稱。如核蛋白、核酸、磷脂、植素等。
概況
![]() | |
| 有機磷 | |
危害介紹
![]() | |
| 有機磷 | |
有機磷中毒的嚴重程度與有機磷種類、中毒劑量、人體對毒物吸收以及排除速率有關。一般而言,除了極少數有機磷農藥(如芬殺松等)較慢出現症狀,大部份在中毒後幾分鐘到十二小時之間,便會出現症狀,中毒後未經治療而死亡,多發生在六小時內。中毒後儘早發現並做適當處理,往往會在急性期過後慢慢康復,因此適當防範與急救處理十分重要。
有機磷化合物
有機磷化合物指含有碳-磷鍵的有機化合物,有機磷化學即是研究有機磷化合物性質和反應的有機化學分支。磷元素與氮同族,具有類似的價電子層結構,因此有機磷化合物的性質與有機含氮化合物有些相似。但除了3s和3p軌道外,磷還可以用3d軌道成鍵,因此也存在很多特殊高價的有機磷化合物,它們都不存在對應的氮化合物。磷的電負性也小於氮,鹼性較弱,因此形成化合物的性質也存在很多差別。
磷是生命必需元素之一,與生命體密切相關,例如普遍存在於生物體中的核酸便含有大量的磷酸酯基團。由於磷-氧鍵鍵能較高,因此核苷酸類的三磷酸腺苷(ATP)被稱為“能量分子”,用於儲存和傳遞化學能。磷酸根離子也存在於血液中。很多農藥和化學武器也含有有機磷化合物成分。
有機磷農藥種類
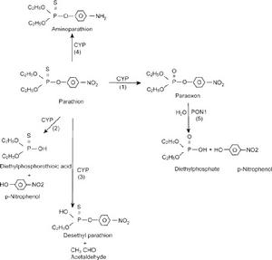
有機磷農藥屬有機磷酸酯類化合物,是使用最多的殺蟲劑。它的種類較多,包括甲拌磷(3911)、內吸磷(1059)、對硫磷(1605)、特普、敵百蟲、樂果、馬拉松(4049)、甲基對硫磷(甲基1605)、二甲硫吸磷、敵敵畏、甲基內吸磷(甲基1059)、氧化樂果、久效磷等。有機磷殺蟲藥經皮膚、黏膜、消化道、呼吸道吸收後,很快分布全身各臟器,以肝中濃度最高,肌肉和腦中最少。它主要抑制乙醯膽鹼酯酶的活性,使乙醯膽鹼不能水解,從而引起相應的中毒症狀。
WHO1972年報告,每年約有50萬人發生急性農藥中毒,5000人死亡。南京醫學院第一附屬醫院統計,1979-1987年中毒病人533人:其中農藥中毒267例,占50.09%;安眠藥和抗精神失常藥中毒者137例,占25.73%。
毒理學
各品種的毒性可不同,多數屬劇毒和高毒類,少數為低毒類。某些品種混合使用時有增毒作用,如馬拉硫磷與敵百蟲、敵百蟲與谷硫磷等混合劑。某些品種可經轉化而增毒,如1605氧化後毒性增加,敵百蟲在鹼性溶液中轉化為敵敵畏而毒性更大。
有機磷農藥(有機磷酸酯類農藥)在體內與膽鹼酯酶形成磷醯化膽鹼酯酶,膽鹼酯酶活性受抑制,使酶不能起分解乙醯膽鹼的作用,致組織中乙醯膽鹼過量蓄積,使膽鹼能神經過度興奮,引起毒蕈鹼樣、菸鹼樣和中樞神經系統症狀。磷醯化膽鹼酶酯酶一般約經48小時即“老化”,不易復能。
某些酯烴基及芳烴基磷酸酯類化合物尚有遲發性神經毒作用,是由於有機磷農藥抑制體內神經病靶酯酶(神經毒性酯酶),並使之“老化”,而引起遲發性神經病。此毒作用與膽鹼酯酶活性無關。
緩釋微膠囊劑型的有機磷農藥,作用時間可較長。
判斷有機磷農藥中毒
經皮膚吸收者2-6小時發病,口服者10-120分鐘出現中毒症狀。根據有有機磷農藥接觸史,結合臨床症狀,如呼氣有蒜味、瞳孔似針尖樣縮小、腺體分泌增多、大汗淋漓等一般很好判斷。
職業性中毒:生產、運輸、保管、使用過程中,末能按操作規程,或通過消化道、呼吸道、皮膚侵入人體而中毒。
生活性中毒:誤將有機磷農藥當食物、調料,或者是吃被農藥毒死的禽畜之肉,以及被污染的瓜果蔬菜。也有自殺或敵意放毒而致中毒者。
小兒中毒:餵養嬰兒的乳母接觸有機磷農藥後經母乳中毒,或因玩耍農藥包裝物,或接觸被污染的玩具、工具、衣服、瓜果、蔬菜等而中毒。
特殊氣味:病人衣物、嘔吐物、皮膚可聞到特殊味道,大蒜味:1605、3911、1059;
芳香味:敵百蟲、敵敵畏。
臨床表現
![]() | |
| 有機磷 | |
檢測方法
![]() | |
| 有機磷 | |
Inoue等人採用即液相色譜-質譜聯用測定法(LC-MS)研究出一種簡單快速的方法用來測定急性中毒患者血清中的10種有機磷農藥濃度乙醯甲胺磷、殺撲磷、敵敵畏、倍硫磷、苯硫磷、敵匹硫磷、甲基乙酯磷(稻豐散)、馬拉硫磷、殺螟硫磷、殺螟腈。這10種有機磷農藥在日本使用廣泛。具體操作程式如下:使用乙腈脫蛋白後,將每種需檢測的生物標本注入一個XTerraMSC18不鏽鋼試劑盒中,採用10mmol/L的甲酸銨-甲醇組成的溶劑進行梯度洗脫。
結果顯示,回收提取率令人滿意,絕對回收率為血清標本的82.2%~107.2%,相對回收率為60.0%~108.1%。血清的測定範圍(LODs)為0.125~1.000 μg/ml,檢測上限為0.25~1.25μg/ml。從這種檢測上限濃度逐漸增加到8μg/ml時,可以觀察到很好的直線相關性。在所有實驗標本中,均值在期望濃度的20%範圍內,而且相關係數(r2)>0.9838。大部分有機磷農藥的分析結果顯示樣本內部和批間分析的精確度、準確度都是令人滿意的。從對溫度的穩定性角度,對所有有機磷酸鹽分析可以發現,敵敵畏和馬拉硫磷在室溫下就可以最快溶解。殺撲磷和敵匹硫磷在整個為期4周的測定期內對所有溫度都相對穩定。
該研究證實,將沉澱蛋白法作為樣本的提純程式,這種LC-MS方法快速可行,可以測定人體血清中的有機磷農藥,並且在測定血清標本中有機磷農藥時具備較高的選擇性、敏感性、精確度、準確度、直線性、回歸性和穩定性。因此這種簡單準確的檢測方法,可以成功地套用於臨床急性有機磷農藥中毒事件中。
防範措施
![]() | |
| 有機磷 | |
二、解毒藥的使用
(一)膽鹼酯酶復活藥肟類化合物能使被抑制的膽鹼酯酶恢復活性。其原理是肟類化合物的吡啶環中的氮帶正電荷,能被磷醯化膽鹼酯酶的陰離子部位所吸引;而其肟基與磷原子有較強的親和力,因而可與磷醯化膽鹼酯酶中的磷形成結合物,使其與膽鹼酯酶的酯解部位分離,從而恢復了乙醯膽鹼酯酶中的磷形成結合物,使其與膽鹼酯酶的酯解部位分離,從而恢復了乙醯膽鹼酯酶活力。常用的藥物有①解磷定(pyraloximemethiodide,PAM-1)和氯磷定,膽鹼酯酶復活藥對解除菸鹼樣毒作用較為明顯,但對各種有機磷殺蟲藥中毒的療效並不完全相同,解磷定和氯磷定對內吸磷、對硫磷、甲胺磷、甲拌磷等中毒的療效好,對敵百蟲、敵敵畏等中毒療效差,對樂果和馬拉硫磷中毒療效可疑。雙復磷對敵敵畏及敵敵百蟲毒效果較解磷定為好。膽鹼酯酶復活藥對已老化的膽鹼酯酶無復活作用,因此對慢性膽鹼酯酶抑制的療效不理想。對膽鹼酯酶復活藥療效不好的患乾,應以阿托品治療為主或二藥合用。膽鹼酯酶復活藥使用後的副作用有短暫的眩暈、視為模糊的復視、血壓升高等。用量過大,可引起癲癇樣發作和抑制膽鹼酯酶活力。解磷定在劑量較大時,尚有口苦、咽痛、噁心。注射速度過快可導致暫時性呼吸抑制。雙復磷副作用較明顯,有口周、四肢及全身發新村的灼熱感,噁心、嘔吐和顏面潮紅。劑量過大可引起室性早搏和傳導阻滯。個別患者發生中毒性肝病。
(二)抗膽鹼藥阿托品阿托品有阻斷乙醯膽鹼對副交感神經和中樞神經系統毒蕈鹼受體的作用,對緩解毒蕈鹼樣症狀和對抗呼吸中樞抑制有效,但對菸鹼樣症狀和恢復膽鹼酯酶活力沒有作用。阿托品劑量可根據病情每10--30min或1--2d給藥一次,直到毒蕈鹼樣症狀明顯好轉或患者出現“阿托品化”表現為止。阿托品化即臨床出現瞳孔較前擴大、口乾、皮膚乾燥和顏面潮紅、肺濕囉音消失及心律加快。即應減少可托品劑量或停用。如出現瞳孔擴大、神志模糊、狂躁不安、抽搐、昏迷和尿瀦留等,提示阿托品中毒,應停用阿托品。對有心動過速及高熱患者,阿托品應慎用。在阿托品套用過程中應密切觀察患者全身反應和瞳孔大小,並隨時調整劑量。有機磷殺蟲藥中毒的治療最理想是膽鹼酯酶復活藥與阿托品二藥合用。輕度中毒亦可單獨使用膽鹼酯酶復活藥。兩種解毒藥合用時,阿托品的劑量應減少,以免發生阿托品中毒。
三、對症治療有機磷殺蟲藥中毒主要的死因是肺水腫、呼吸肌癱瘓或呼吸中樞衰竭。休克、急性腦水腫、心肌損害及心跳驟停等亦是重要死因。因此,對症治療應以維持正常呼吸功能為重點,例如保持呼吸道通暢,給氧或套用人工呼吸器。肺水腫用阿托品。休克用升壓藥,腦水腫套用脫水劑和腎上腺糖皮質激素,以及按情況及時套用抗心律失常藥物等。危重病人可用輸血療法。為了防止病情復發,重度中毒患者,中毒症狀緩解後應逐步減少解毒藥用量,直至症狀消失後停藥,一般至少觀察3-7天。
火鍋化學添加物質
| 火鍋底料中的有機磷等76種化學物質。 |






