基本釋義
詞目:光氣
拼音:guāng qì
詳細解釋
1.靈異之氣。 漢王充《論衡·吉驗》:“驗見非一,或以人物,或以禎祥,或以光氣。” 唐 達奚珣 《述聖頌》:“發潤飄清,緫此光氣,復下土兮。” 清魏源《默觚上·學篇十三》:“至神無不化也,至誠無不格也。精神全而光氣發,則傅巖、渭 濱能入明王之夢卜。”
2.光輝;光彩。 南朝 梁 江淹 《丹砂可學賦》:“乘河漢之光氣,騎列星之彩色。” 明高啟《青丘子歌》:“星虹助光氣,煙露滋華英。” 清黃景仁《題可堂印譜》:“襃然成一編, 倉斯 吐光氣。”柳青《狠透鐵》:“老監察的眼睛發亮了,皺紋臉有了光氣。”
3.景象。 晉陶潛《讀山海經》詩之三:“西南望 昆 墟,光氣難與儔。” 宋陳師道《平翠閣》詩:“湖山多變態,橫斜光氣異。”
4.風氣。 清王韜《<英語彙腋>序》:“方今朝庭與泰西諸邦通商立約,琛賮遠臨,梯航畢集,四十餘年來光氣大開。”
5.一種有機化合物,為無色氣體,有劇毒。分子式 COCl 2 。在軍事上曾用作毒氣,也可用以制染料、香料等。
基本定義
分子式英文名稱:Phosgene; carbon oxygen chloride; carbonyl chloride; chloro two formaldehyde
分子式:COCl2
分子量:98.92
結構:見圖
CAS No.:75-44-5
國標編碼:23038
衍生物(有關物質):
上游產品: 四氯化碳,發煙硫酸,一氧化碳,氯氣
下游產品: 一氯醋酸甲酯,苯磺醯,異氰酸酯,氯甲酸甲酯,氯甲酸乙酯,氯甲酸,2-乙基己酯,碳酸二乙酯,碳酸二甲酯,碳酸二苯酯,氯乙醯氯,N,N'-二甲基-N,N'-二苯脲,N-氯甲基-N-苯基氨基甲醯氯,N,N'-二琥珀醯亞胺基碳酸酯,四乙基米氏酮,苯甲醯氯
基本內容
光氣光氣常溫下為無色氣體,有腐草味,用作有機合成、農藥、藥物、染料及其他化工製品的中間體。脂肪族氯烴類(如四氯化碳、氯仿、三氯乙烯等)燃燒時可產生光氣。如氟光氣(COF2)沸點-83℃。溶於水及乙醇等有機溶劑。化學性質不穩定,遇水迅速水解,生成氯化氫。是含氯塑膠高溫熱解產物之一。
光氣又稱碳醯氯,劇毒,微溶於水,較易溶於苯、甲苯等。由一氧化碳和氯的混合物通過活性炭製得。環境中的光氣主要來自染料、農藥、製藥等生產工藝。光氣是劇烈窒息性毒氣,高濃度吸人可致肺水腫。毒性比氯氣約大10倍,但在體內無蓄積作用。在生產條件下以急性中毒為主,主要對呼吸系統造成損害。吸人光氣後,發生典型的刺激症狀,初為乾咳,數小時後加重,輕者出現咳嗽、胸悶、氣促、眼結膜刺激和頭痛、噁心等;重者可發展為肺水腫、呼吸困難,甚至出現休克。
空氣稀釋時,有一種乾草的霉味。在0℃時冷凝為透明無色發煙液體。分子式 COCl2。分子量98.92。相對密度 1.381(20/4℃)。熔點 -118℃。沸點 8.2 ℃。蒸氣壓 161.96kPa (20℃)。蒸氣密度3.4。微溶於水;易溶於苯、甲苯、冰乙酸和許多液態烴類。遇水緩慢分解,生成一氧化碳和氯化氫。加熱分解,產生有毒和腐蝕性氣體。萬一有光氣漏逸, 微量時可用水蒸汽衝散;較大量時,可用液氨噴霧解毒,也可被苛性鈉溶液吸收。COCl2+4NH3→CO(NH2)2+2NH4Cl 侵入途徑(可經呼吸道吸入)。 :人吸入LCLo: 50ppm/5M;男性LCLo:360mg/m3/30M。人吸入5ppm/30M。屬高毒類。為窒息性毒氣。毒性比氯氣大10倍。大鼠吸入20分鐘的LC50為100mg/m^3。較低濃度時無明顯的局部刺激作用,經一段時間後出現肺泡-毛細血管膜的損害,而導致肺水腫。較高濃度時可因刺激作用而引起支氣管痙攣, 導致窒息。人的嗅覺閾為0.4~4mg/m^3。8mg/m^3對眼和鼻有輕度刺激作用。 :急性中毒,吸入一定量的光氣當時可出現輕度眼和上呼吸道刺激症狀,如流淚、咽部不適、咳嗽、胸悶;或無明顯症狀。經1~24小時或長些時間的症狀緩解期,後迅速出現肺水腫、成人呼吸窘迫綜合徵。可並發縱膈及皮下氣腫、氣胸等。血氣分析示動脈血氧分壓降低。胸部X線片呈支氣管炎或肺水腫的表現。部分患者在肺水腫消退後2周左右可出現遲發性阻塞性細支氣管炎。胸部X線片示兩肺滿布粟粒陰影。處理迅速脫離現場至空氣新鮮處。絕對臥床靜息。密切接觸者即使無症狀,亦應觀察24~48小時, 注意呼吸率及肺部聽診等。及時觀察血氣分析及胸部 X線片變化。 給予對症治療。防治肺水腫,給予合理氧療;保持呼吸道通暢, 套用支氣管解痙劑,肺水腫發生時給去泡沫劑如消泡淨,必要時作氣管切開、機械通氣等;早期、適量、短程套用糖皮質激素,如可按病情輕重程度,給地塞米松10~60mg/日,分次給藥, 待病情好轉後即減量,大劑量套用一般不超過3~5日,重症者為預防阻塞性細支氣管炎, 可酌情延長小劑量套用的時間; 短期內限制液體入量。合理套用抗生素。脫水劑及嗎啡應慎用。強心劑應減量套用。
基本性質
光氣檢測儀性狀:無色或略帶黃色氣體(工業品通常為已液化的淡黃色液體),當濃縮時,具有強烈刺激性氣味或窒息性氣味,為爛乾草氣味。
熔點:-127.84℃(-118℃)
沸點:7.48℃(8.2℃)
比熱容:8.2J/W
相對密度:3.5(空氣=1);1.37(水=1)
蒸氣壓:202.65kPa(27.3℃)
揮發度:6652.25mg/L
穩定性:穩定
危險標記:6(有毒氣體),20(腐蝕品)
溶解情況:微溶於水並逐漸水解,溶於芳香烴、四氯化碳、氯仿等有機溶劑
其它:劇毒,不可燃。與二氧化碳反應
液態光氣發生離解 COCl2=COCl+Cl-
這個特性使得光氣在一定程度上被認為是電解質
製取
光氣實驗室製取時,可用四氯化碳與發煙硫酸反應。將四氯化碳加熱至55-60℃,滴加入發煙硫酸,即發生逸出光氣,如需使用液態光氣,則將發生的光氣加以冷凝。
反應方程式:SO +CCl → SOCl +COCl↑
反應機理如右圖:
工業上通常採用一氧化碳與氯氣的反應得到光氣。這是一個強烈放熱的反應,裝有活性炭的合成器應有水冷卻夾套,控制反應溫度200℃左右。為了獲得高質量的光氣和減少設備的腐蝕,經過徹底乾燥的一氧化碳在與氯氣混合時,應保持適當過量。將混合氣從合成器上部通入,經過活性炭層後,很快轉化為光氣。當選用規格為Ф700×2900的合成器時,每台可年產光氣200t。
原料消耗定額:氯氣(>99%)925kg/t;氧氣(標準狀況下)268(m)kg/t;焦炭400kg/t。
氯仿,雙氧水直接反應:
CHCl+HO=HCl+HO+COCl(光氣) ——氯仿保管不當易被氧化產生光氣。
也可用雙氧水制出氧氣後與氯仿反應:
2CHCl+O=2HCl+2COCl(光氣)
光氣泄露後用水霧吸收,光氣很容易水解:
COCl+HO=2HCl+CO
也可用氯氣和一氧化碳反應
Cl+CO==光照==活性炭或Pt==COCl(見光反應)
三氯甲烷在空氣和光照的作用下也可生成光氣。
作用用途
光氣光氣是一種重要的有機中間體,在農藥;當今醫藥;工程塑膠;聚氨酯材料以及軍事上都有許多用途。
在農藥生產中,用於合成氨基甲酸酯類殺蟲劑西維因;速滅威;葉蟬散等許多品種,還用於生產殺菌劑多菌靈及多種除草劑,我國臨湘氨基化學品廠和寧陽農藥廠已成為氨基甲酸酯類農藥的生產基地,寧陽農藥廠已能生產43個品種。
以光氣為原料生產的異氰酸酯類產品,例如TDI,MDI,PAPI是聚氨酯硬泡;軟泡;彈性體;人造革的重要原料;有些品種的異氰酸酯,大量用於聚氨酯塗料;也有的特殊品種用於粘結劑,例如列克納膠。
在染料工業中用於生產猩紅酸等染料中間體,在國防工業中用於生產中定劑二甲基二苯脲和作為軍用毒氣。
用光氣生產的氯代甲酸酯類是農藥;醫藥;聚合引發劑等有機合成的中間體。用光氣直接法或酯交換法生產工程塑膠聚碳酸酯時,都需要光氣作原料。光氣劇毒,是一種強刺激;窒息性氣體。吸入光氣引起肺水腫;肺炎等,具有致死危險。二戰時被奧斯維辛集中營廣泛採用,用來殺死戰俘、猶太人、政治犯等。
毒性毒理
中毒概述
本品是典型的暫時性毒劑。吸入中毒的半致命劑量LD50為3200mg·min/m3,半失能劑量1600mg·min/m3。吸入後,經幾小時的潛伏期出現症狀,表現為呼吸困難、胸部壓痛、血壓下降,嚴重時昏迷以至死亡。防毒面具可有效地防護,通常不需消毒。抗毒藥有烏洛托品等。出現肺水腫症狀者禁止人工呼吸。
健康危害
侵入途徑:吸入、經皮吸收。
健康危害:主要損害呼吸道,導致化學性支氣管炎、肺炎、肺水腫。
急性中毒:輕度中毒,患者有流淚、畏光、咽部不適、咳嗽、胸悶等;中度中毒,除上述症狀加重外,患者出現輕度呼吸困難、輕度紫紺;重度中毒出現肺水腫或成人呼吸窘迫綜合徵,患者劇烈咳嗽、咯大量泡沫痰、呼吸窘迫、明顯紫紺。肺水腫發生前有一段時間的症狀緩解期(一般1-24小時)。可並發縱隔及皮下氣腫。
毒理環境
健康危害急性毒性:LC501400mg/m3,1/2小時(大鼠吸入);人吸入3200mg/m3,致死;人吸入25ppm×30分鐘,最小致死濃度。
亞急性和慢性毒性:動物吸入0.0008mg/L,5小時 (5天),40%出現肺氣腫。
污染來源:光氣用作聚氨酯製品處理劑、增塑劑、聚碳酸酯原料,纖維處理劑、除草劑、炸藥穩定劑、染料、染料中間體和藥品原料,在生產中的跑、冒、滴、漏或意外泄漏。
危險特性::不燃。化學反應活性較高,遇水後有強烈腐蝕性。
燃燒(分解)產物:氯化氫。
3.現場應急監測方法:
快速化學分析方法:對硝基苄基吡啶檢測管、二甲基苯胺指示紙法《突發性環境污染事故應急監測與處理處置技術》萬本太主編
氣體速測管(北京勞保所產品、德國德爾格公司產品)
4.實驗室監測方法:
紫外分光光度法(HJ/T31-1999,固定污染源排氣)
碘量法《空氣和廢氣監測分析方法》,國家環保局編
用硝酸酸化的硝酸銀
5.環境標準:
a.中華人民共和國國家職業衛生標準GBZ2.1-2007 工作場所有害因素職業接觸限值化學有害因素
車間空氣中有害物質的最高容許濃度MAC 0.5mg/m3
b.中國(GB16297-1996)大氣污染物綜合排放標準
①最高允許排放濃度(mg/m3):
5.0(表1);3.0(表2)
②最高允許排放速率(kg/h):
二級0.12~1.2(表1);0.10~1.0(表2)
三級0.18~1.8(表1);0.15~1.5(表2)
③無組織排放監控濃度限(mg/m3):
0.080(表2);0.10(表1)
應急處理
預防措施迅速撤離泄漏污染區人員至上風處,並立即進行隔離,小泄漏時隔離150米,大泄漏時隔離450米,嚴格限制出
入。建議應急處理人員戴自給正壓式呼吸器,穿防毒服。從上風處進入現場。儘可能切斷泄漏源。合理通風,加速擴散。噴氨水或其它稀鹼液中和。構築圍堤或挖坑收容產生的大量廢水。漏氣容器要妥善處理,修復、檢驗後再用。
光氣很容易水解,即使在冷水中,光氣的水解速度也很快。水源、含水食物以及易吸水的物質均不會染毒。光氣與氨很快反應,主要生成尿素和氯化銨等無毒物質,因此,濃氨水可對光氣消毒。光氣與有機胺作用,生成二苯脲白色沉澱和苯胺鹽酸鹽。可用此反應來檢驗光氣。光氣在鹼溶液中很快被分解,生成無毒物質。各種鹼、鹼性物質均可對光氣進行消毒。
防護措施
呼吸系統防護:正常作業時,應該佩戴過濾式防毒面具(全面罩)。緊急事態搶救或撤離時,建議佩戴空氣呼吸器。 眼睛防護:呼吸系統防護中已作防護。
身體防護:穿膠布防毒衣。
手防護:戴橡膠手套。
其它:工作現場禁止吸菸、進食和飲水。實行就業前和定期的體檢。
急救措施
皮膚接觸:脫去被污染的衣著,用流動清水沖洗。
眼睛接觸:提起眼瞼,用流動清水或生理鹽水沖洗。就醫。
吸入:迅速脫離現場至空氣新鮮處。保持呼吸道通暢。如呼吸困難,給輸氧。如呼吸停止,立即進行人工呼吸。就醫。
滅火方法:本品不燃。消防人員必須佩戴過濾式防毒面具(全面罩)或隔離式呼吸器、穿全身防火防毒服,在上風處滅火。切斷氣源。噴水冷卻容器,可能的話將容器從火場移至空曠處。萬一有光氣漏逸,微量時可用水蒸氣衝散,較大時,可用液氨噴霧沖洗。滅火劑:霧狀水、乾粉、二氧化碳。
中毒機理
光氣吸入中毒後的主要病變是中毒性肺水腫。肺水腫是肺毛細血管滲透性增強的結果。對於肺水腫產生的原因,學說頗多,諸如醯化作用、直接作用、鹽酸作用、神經反射作用、肺血流動力學改變等等,各有實驗依據。但任何一種假說都不能完滿地解釋肺水腫發生與發展過程。
目前一般認為肺毛細血管壁通透性增強與光氣的醯化作用(acylation)有密切關係。光氣為醯鹵類化合物,活性基團是羰基(O=C),化學性質非常活潑,它與肺組織蛋白中的氨基、巰基、羥基等重要功能基團發生醯化反應,引起肺酶系統的廣泛抑制,從而影響細胞正常代謝及其功能,使肺氣-血屏障受損,導致肺毛細血管通透性增高,引起肺水腫。此外,光氣中毒時,肺泡表面活性物質受損也是重要因素之一。正常時,在肺泡表面復蓋一層由肺泡Ⅱ型上皮細胞分泌出來的表面活性物質,該物質有降低肺泡內液體表面張力的作用,使肺泡在呼氣時不致萎陷,並保持肺泡內的乾燥。二棕櫚醯磷脂醯膽鹼(dipalmitoyl phosphatidyl choline,DPPC)是肺表面活性物質的主要成分之一。在其生物合成中需要脂醯輔酶A酯醯轉移酶的參與。光氣中毒後,該酶活性下降,因而DPPC在肺泡壁的含量減少,使肺泡表面活性物質功能下降,從而肺泡內液體表面張力增大而致肺泡萎陷,肺泡壓明顯降低,與其相抗衡的肺毛細血管流體靜力壓就增高,液體由血管內大量外滲,導致肺水腫的產生。
病理變化
光氣、雙光氣中毒的病理生理改變主要由肺水腫所引起。
臨床表現吸入中毒時,先出現短暫的呼吸變慢,繼之呼吸淺而快。在出現早期肺水腫後,由於肺泡呼吸表面積減少,肺泡壁增厚,影響了肺泡內氣體交換。加上水腫液充塞呼吸道,支氣管痙攣及其黏膜腫脹所引起的支氣管狹窄,造成肺通氣障礙,結果出現呼吸性血缺氧,導致血氧含量降低,CO2含量增多,皮膚黏膜呈青紫色。此時呼吸循環功能有代償性變化,如呼吸加快、肋間肌活動增強、心跳快而有力、血壓微升等。
肺水腫晚期,由於①肺泡內含有大量液體,肺內壓力增加,使右心負荷增加;②血漿大量滲入肺內使血循環內血容量減少、血液濃縮、粘稠度增加。外周阻力增加,使左心負荷加重;③長時期嚴重的血缺氧使肌營養不良,因此可出現心收縮力減弱、心律失常、循環減慢、血壓逐漸降低等心功能衰竭表現。後者又可加重組織缺氧,體內氧化不全產物增加,發生酸中毒和電解質紊亂。血內CO2含量逐漸降低,內臟毛細血管擴張,外周毛細血管收縮,皮膚黏膜轉為蒼白,血壓急劇下降,出現急性循環衰竭,進入休克狀態。此期因肺水腫合併循環衰竭,機體失去代償能力。
隨著肺水腫的發展,血漿從肺毛細血管大量外滲,造成血漿容量降低,血液濃縮,出現血漿蛋白減少,紅、白
光氣參與活化法細胞數及血紅蛋白增加,血球比積增高。這些變化與肺水腫程度相一致。由於血液粘稠、血流緩慢,加上組織的破壞,使血液凝固性增加。由此,可形成血栓和栓塞。
中樞神經系統對缺氧很敏感。缺氧初期大腦皮質興奮,出現煩躁不安、頭痛、頭暈等;缺氧嚴重時,逐漸轉入抑制,表情淡漠,乏力等。缺氧進一步發展,大腦皮層抑制加深,並向皮層下擴散,呼吸、循環中樞可由興奮轉為抑制,呼吸、心跳減弱,以至出現中樞麻痹,導致呼吸、心跳停止而死亡。
病理解剖可見皮膚蒼白、胸廓擴大、肋間隙消失、口鼻有粉紅色泡沫狀分泌物排出,擠壓胸腔時流出更多。肺部因肺水腫、肺氣腫、肺充血、肺不張及輕度出血等各種病變瀰漫相間而呈現“大理石樣”。
臨床表現
光氣(雙光氣)中毒,根據中毒程度,臨床上可分輕度、中度、重度及閃電型四型。輕度中毒、症狀很輕,分
期不明顯,僅表現為消化不良和支氣管炎症狀,一周內即可恢復。閃電型中毒極為少見,多發生在吸入毒劑濃度極高時,在中毒後幾分鐘內,可因反射性呼吸、心跳停止而死亡。
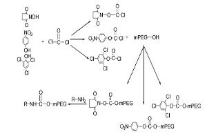
光氣可以用於製備活化聚乙二醇,用於修飾,蛋白藥物,增加蛋白藥物的穩定性。
毒理數據
編號 | 毒性類型 | 測試方法 | 測試對象 | 使用劑量 | 毒性作用 |
|---|---|---|---|---|---|
1 | 急性毒性 | 吸入 | 人類 | 50 ppm/5M | 詳細作用沒有報告除致死劑量以外的其他值 |
2 | 急性毒性 | 吸入 | 成年男性 | 360 mg/m3/30M | 詳細作用沒有報告除致死劑量以外的其他值 |
3 | 急性毒性 | 吸入 | 人類 | 25 ppm/30M | 1.肺部、胸部或者呼吸毒性——其他變化 |
4 | 急性毒性 | 吸入 | 貓 | 190 mg/m3/15M | 詳細作用沒有報告除致死劑量以外的其他值 |
5 | 急性毒性 | 吸入 | 哺乳動物 | 50 ppm/5M | 詳細作用沒有報告除致死劑量以外的其他值 |
6 | 急性毒性 | 吸入 | 哺乳動物 | 11 mg/m3/30M | 詳細作用沒有報告除致死劑量以外的其他值 |
7 | 慢性毒性 | 吸入 | 大鼠 | 200 ppb/6H/4W-I | 1.肺部、胸部或者呼吸毒性——氣管、支氣管的結構、功能發生變化 2.肺部、胸部或者呼吸毒性——肺重量發生變化 |
8 | 慢性毒性 | 吸入 | 大鼠 | 250 ppb/4H/17D-I | 1.肺部、胸部或者呼吸毒性——其他變化 2.肺部、胸部或者呼吸毒性——肺重量發生變化 3.生化毒性——抑制或脫氫酶誘導 |
9 | 慢性毒性 | 吸入 | 大鼠 | 500 ppb/6H/12W-I | 1.肺部、胸部或者呼吸毒性——氣管、支氣管的結構、功能發生變化 2.肺部、胸部或者呼吸毒性——肺重量發生變化 3.營養和代謝系統毒性——體重下降或體重增加速率下降 |
中毒反應
中、重度中毒病情發展迅速而嚴重,典型的臨床表現可分為四期:
刺激期
吸入光氣立即出現刺激症狀,主要表現有:眼和呼吸道刺激症狀出現早,有眼痛、流淚、咳嗽、胸悶氣憋、呼吸率改變、嗅覺異常或久存光氣味,咽喉部及胸骨後疼痛等;植物神經和中樞神經系統症狀有頭痛、頭暈、乏力、不安或少言、淡漠、噁心、嘔吐、上腹疼痛等。在光氣吸入劑量相等的情況下,高濃度短時間中毒,刺激症狀重;低濃度長時間中毒刺激症狀較輕。但吸入劑量較大時,呼吸道的刺激症狀明顯,持續時間也較長。
潛伏期
刺激症狀消失或減輕,自覺症狀好轉,但病理過程仍在發展,肺水腫在逐漸形成中。潛伏期一般為2~13小時。重度中毒2~4小時,甚至1小時;中度中毒為8~12小時,有時長至24小時。
水腫期
光氣中毒從潛伏期到肺水腫期可突然發生或緩慢發生,此期一般為1~3天。
肺水腫(首先出現間質性肺水腫)的早期症狀有:全身疲倦、頭痛、胸悶、呼吸淺快、脈搏增加、咳嗽、煩躁不安等。聽診呼吸音減弱,肺底部有細濕性囉音或捻發音。胸部影象學檢查有肺水腫徵象。繼之,全身狀況惡化、很快出現肺泡性肺水腫。典型的症狀和體徵為氣喘、呼吸困難、頻繁咳嗽、咯出大量粉紅色泡沫痰液、脈快、噁心、嘔吐及上腹部疼痛等。叩診胸部可聽到鼓音及濁音。肺下界降低,心濁音界消失;聽診時全肺滿布乾性及濕性囉音。血液檢查表現為血液濃縮徵象,動脈血氧分壓、血氧飽和度降低。肺泡性肺水腫進展很快,一般在24小時內達到高峰。肺水腫期以循環系統功能是否良好又可分為兩個階段。
1.紫紺型缺氧階段:此階段血氧含量下降,皮膚黏膜紫紺、但循環功能尚能代償。血壓正常或稍高,脈搏快而有力。神志清楚,體溫升高可達38~39℃。由於肺水腫使CO2排出障礙,血中碳酸增高,導致呼吸性酸中毒;也可因過度換氣使CO2排出過多,造成呼吸性鹼中毒。
2.蒼白(或休克)型缺氧階段:病情繼續惡化,呼吸極度困難。嚴重時全部呼吸輔助肌均參加運動,逐漸出現循環衰竭:脈細數不規則、血壓下降、皮膚黏膜蒼白、出冷汗、逐漸陷入昏迷。此時,血氧含量更低,氧化不全產物增加,導致代謝性酸中毒。
光氣(雙光氣)中毒後的症狀和體徵24~48小時達到高峰,如不及時救治,可在1~3天內死亡,重度中毒可能在5天內死亡。因此,凡吸入光氣者至少需嚴密觀察3~4天。
恢復期
中毒較輕或經治療後肺水腫液可於發病後2~4天內吸收,全身情況好轉。咳嗽、氣短減輕、痰量減少、體溫下降,肺部囉音減少或消失。X線檢查,肺功能及血氣分析結果逐漸恢復正常。一般在中毒後5~7天基本痊癒,2~3周可恢復健康。但數周內仍有頭暈、咽乾、食欲不振、呼吸循環功能不穩定等。
如有繼發感染,一般在中毒後第3~4天病情惡化。體溫繼續升高,肺水腫吸收遲緩,可在中毒後8~15天因支氣管肺炎而死亡。此外,還可能發生其它併發症,如胸膜炎、支氣管炎,偶見肺栓塞、肺壞疽、肺膿腫以及下肢、腦、心、視網膜等處栓塞。
後遺病症
光氣中毒主要有慢性支氣管炎、肺氣腫、支氣管擴張、晚期肺膿腫、結核病體質等。光氣中毒的預後取決於吸入的劑量、病情、救治情況及併發症。潛伏期中難以判斷預後。出現蒼白型窒息者多預後不良。死亡時間大多在中毒後1~2天內。能度過48小時以上者,一般可恢復健康而留後遺症。死亡原因主要是肺水腫引起的嚴重缺氧及循環衰竭。晚期多半死於支氣管肺炎。
補充:
光氣有劇毒,是一種強刺激;窒息性氣體,具有爛乾草氣味。吸入光氣引起肺水腫;肺炎等,具有致死危險。
對於光氣泄露的應急處理辦法:迅速撤離泄漏污染區人員至上風處,並立即進行隔離,小泄漏時隔離150米,大泄漏時隔離450米,嚴格限制出入。建議應急處理人員戴自給正壓式呼吸器,穿防毒服。從上風處進入現場。儘可能切斷泄漏源。合理通風,加速擴散。噴氨水或其它稀鹼液中和。構築圍堤或挖坑收容產生的大量廢水。漏氣容器要妥善處理,修復、檢驗後再用。
光氣很容易水解,即使在冷水中,光氣的水解速度也很快。水源、含水食物以及易吸水的物質均不會染毒。光氣與氨很快反應,主要生成脲和氯化銨等無毒物質,因此,濃氨水可對光氣消毒。光氣與有機胺作用,生成二苯脲白色沉澱和苯胺鹽酸鹽。可用此反應來檢驗光氣。光氣在鹼溶液中很快被分解,生成無毒物質。各種鹼、鹼性物質均可對光氣進行消毒。
補充:
光氣具有爛乾草氣味,劇毒,吸入後肺部出現液化現象,吸入過多導致窒息性死亡。
據長期人體吸入微量光氣實驗證明:該氣體可使人體發胖,因此生產光氣的車間的工人可能出現發胖症狀,與吸入的微量光氣有關。
光氣毒劑
光氣是一種毒害作用巨大的化學戰劑,用於製造毒氣彈。光氣毒劑最早在一戰中套用。
自從伊普爾毒氣戰後,戰爭雙方的決策者、指揮者開始熱衷化學戰。戰爭促進了化學武器的發展,一戰中出現了多種毒劑,除了氯氣外,又出現了光氣,是殘害生靈的戰場毒魔。
光氣是一氧化碳與氯氣在日光下合成,為無色氣體,它能傷害人體呼吸器官,嚴重時導致人體死亡。1915年12月19日,德軍發射裝填光氣的火箭彈。英軍陣地上有1000多人中毒,100多人死亡。
在一戰中,光氣這種毒劑得到廣泛套用,交戰雙方都使用了光氣這種毒劑,使用量達到10萬噸之多。
二戰時,日軍鑒於芥子氣毒性過大,自己也無法防護。於是瞄準了光氣,因為光氣只能通過呼吸道中毒,而我軍又無防護,所以大量使用光氣,並將其稱為“特種煙”(為日軍對窒息性毒氣的隱敝稱呼)。
相關新聞
2008年的端午,因為是第一個被設定為國家法定假日的端午節而更多了幾分寧靜祥和的氣氛。然而節日前夕,在黑龍江省第二大城市齊齊哈爾市,卻發生了一起罕見的光氣泄漏事件,造成18人傷亡。
在齊齊哈爾市曙光大街光宇廢品收購站緊閉的大鐵門上,一張手寫的“封條”時而引起路人的注意:此院發生不明氣體泄漏,請不要靠近。對於這種“不明氣體”的味道,經歷了整個事件的程貴雲至今仍無法準確形容。45歲的程貴雲2003年10月從黑龍江省依安縣來到齊齊哈爾打工,負責給一家建築公司看管倉院。這個看上去與農村場院差不多的倉院,和光宇廢品收購站僅一院之隔。
程貴雲回想起6月5日上午10點多發生的意外時仍心有餘悸:“當時屋門開著,我在炕上躺著,不知咋來了一股氣,聞著人就不行了。淌眼淚,上不來氣,把門關上屋裡也待不了人,我就趕緊往院外跑。” 跑到院門口的上風處,程貴雲發現廢品收購站門口有人捂著肚子,讓人窒息的奇怪氣味就是從那裡傳過來的。在光宇廢品收購站鄰院一家單位打經的史可軍,幸運地沒有遭遇毒氣泄漏,但他的愛人、兒子、妻妹等5口人都中毒住進了醫院。
50歲的史可軍向記者轉述了妻子描述的事件經過:當時我愛人和她兩個妹妹抱著十四個月大的外孫女剛走到院門口,就聞到旁邊廢品收購站院裡傳出來的難聞氣味兒,孩子大哭不止。幾個婦女就一邊忙活照顧孩子一邊喊鄰居趕緊報警。沒過多長時間,警察就到了。兩個警察跟著鄰居和我大兒子進了廢品收購站的院兒,可他們很快就都跑出來了。大家都感到睜不開眼睛,流眼淚,喘不上氣。
事件發生後,黑龍江省委書記吉炳軒、省長栗戰書指示,不惜一切代價搶救受傷人員,立即疏散周邊民眾,迅速查明事故原因。齊齊哈爾市啟動突發事件應急預案,成立了事件處置工作領導小組,搶救傷員、隔離現場、疏散附近居民、查明中毒原因等工作迅速展開。
據了解,6月5日下午1點20分左右,齊齊哈爾市消防支隊特勤大隊火速調派18名指戰員、4台救援車輛出警趕赴災害現場。30分鐘後,消防支隊兩名偵檢人員,著重型防化服、佩戴個人防護裝備及通信器材,在噴霧水槍掩護下進入災害現場,利用毒氣檢測儀實施偵檢。偵檢儀器顯示,現場氣體有毒,但不能確定該氣體名稱及屬性。14時15分,消防支隊現場指揮部派遣特勤大隊副大隊長顧宗剛、戰士額爾頓圖,攜帶無火花工具及木製堵漏器材進入現場進行堵漏。為避免毒氣泄漏造成更大危害,顧宗剛和額爾頓圖不顧個人安危,成功將泄漏的鋼瓶堵住,避免了有毒氣體的進一步擴散。 6日,齊齊哈爾市安監局協調企業緊急製作氫氧化鈉溶液200公升,對現場鋼瓶進行洗消綜合處置。光宇廢品收購站也接受了洗消處理。當地環保部門對事故現場空氣環境進行了監測分析,未檢出任何揮發性有害氣體。
事故發生後,部隊專家進入現場,對不明鋼體進行查驗、照相,對泄漏物進行取樣、鑑別,並對現場進行偵測。後經專家測試、比樣、研究分析,初步認定該鋼瓶為盛裝有毒氣體——光氣的容器,非軍用毒氣彈,排除侵華日軍遺棄化學武器的可能。經調查,泄漏光氣的兩個鋼瓶形狀類似小氧氣瓶,一個高1.2米,另一個高1.5米,是鐵鋒區先鋒村農民在自家菜地里挖沼氣池時挖出的。這位農民將鋼瓶賣給流動收廢品人員楊軍,楊軍又轉賣給了光宇廢品收購站,收購站人員在拆割時造成了泄漏。 在這次事件中,3人不幸死亡,1人危重,14人留院觀察。這18人基本都是光宇廢品收購站的左鄰右舍,年齡最小的是一個14個月大的女孩。 當地相關部門正在對光氣鋼瓶的年代和來源進行調查。
全力救治中毒人員:光氣,這種日常生活中鮮為人知的氣體何以具有如此危害?據負責本次事故中毒人員救治的解放軍203醫院副院長秦德柱介紹,光氣是“光成氣”的簡稱,又叫碳醯氯,分子式COC12。光氣是窒息性毒劑的一種,是一種毒性很強的氣體,在工業上主要用於塑膠、製革、製藥等。常溫下為無色氣體,有爛乾草或爛蘋果氣味,但濃度較高時氣味辛辣。光氣易水解,遇水會分解成為一氧化碳和鹽酸。因為人的肺部濕潤,吸入光氣後相當於遇水分解。一氧化碳能使人窒息,而鹽酸會腐蝕人的肺部。因此,光氣中毒主要是傷害呼吸器官。當吸入較高濃度光氣時,即可引起嚴重中毒,甚至死亡。
曾出色完成2004年侵華日軍遺留芥子氣毒劑泄漏事件中毒人員救治的解放軍203醫院,又積極承擔起此次中毒人員的搶救。首批患者入院後,被醫院確定為群體性中毒,初步診斷為窒息性毒氣中毒。隨後,203醫院採取緊急醫療和防護措施,成立了救治指揮組,抽調處置“8.4”芥子氣中毒事件的專家,組成醫療救治組。根據治療和防護需要,醫院專門開設中毒療區,按隔離防護要求,區分了醫務人員工作區、病房療區和傷病員活動區。
該醫院還與權威軍方中毒救治專家進行網上會診,提出救治原則和具體治療意見,對進一步對症治療提供了有力支持。 據秦德柱介紹,在中毒人員中,4名重患由於距離泄漏的鋼瓶非常近,吸入的有毒氣體較多,有3名已不幸死亡。經與解放軍307醫院中毒救治專家會診、調整救治方案,對危重中毒者朱秀芬實施了對症治療。
從臨床觀察看,留院觀察的14人吸入的有害氣體量少,病情比較平穩,其中包括接到報警後到達現場的兩名民警。記者從解放軍203醫院最新了解到,除重患朱秀芬外,14名留院觀察人員情況均比較穩定,如果沒有意外,近期就可以出院。
大規模殺傷性武器
| 科學—科學技術—軍事裝備—武器—大規模殺傷性武器 | ||
| 核武器 | 核子彈、氫彈、中子彈、電磁脈衝彈、衝擊波彈、紅汞核彈、三相彈、核背囊 | |
| 生物武器 | 基因武器、生物化學戰劑、炭疽病、伊波拉病毒、蓖麻毒素、天花病毒、肉毒桿菌毒素、馬腦炎病毒、布魯氏桿菌、流感病毒、野兔熱桿菌、土拉桿菌、組織孔孢漿菌、相思子毒素、黃熱病毒 | |
| 化學武器 | 神經性毒劑、糜爛性毒劑、全身中毒性毒劑、窒息性毒劑、失能性毒劑、刺激性毒劑、沙林梭曼、塔崩、芥子氣、路易氏氣、氫氰酸、光氣、苯氯乙酮、亞當氏氣、維埃克斯、氯化氰、畢茲西埃斯、路易斯毒氣、催淚瓦斯、胡椒噴霧 | |
| 放射性武器 | 感生輻射彈、伽瑪射線彈 | |
| 地球物理武器 | 天氣氣候武器、無線電技術武器、構造武器、反物質武器 | |

