分式
一般地,如果A、B(B不等於零)表示兩個整式,且B中含有字母,那么式子A / B 就叫做分式,其中A稱為分子,B稱為分母。分式是不同於整式的一類代數式,分式的值隨分式中字母取值的變化而變化。分式可以表現實際生活中的一些數量關係。例如如果某水果的售價為每千克b元,那么a/b表示a元可以購買這種水果的千克數;如果這種水果的售價每千克降低1元,那么a/(b-1)表示用a元可以購買降價後的這種水果。
定義
在化簡結果中(利用約分的方法),分子和分母已沒有公因式,這樣的分式稱為最簡分式。
化簡方法
把一個分式的分子與分母的公因數約去的過程,稱為分式約分。(即把一個分式的分子、分母同時除以公因數,分式的值不變,這個過程叫約分。)
例如a/b這是一個分式,a可以寫成c*d,b=c*e,那么a/b可以寫成d/e,因為有公因子c可以分子分母同時約掉。
最簡分式型函式
最簡分式型函式一般有兩種形式:
最簡分式(1)一般式:
最簡分式(2)中心式:
最簡分式一般式通過分離常數法都可以化成中心式,將分式中的未知量x換成一個函式就得到一般的最簡分式型函式,高考中經常出現的如:sinx ,lnx 等。
例題及解析
例題1
下列哪些是最簡分數或分式?
(1)1/56 ;(2)88/888
(3)q/(q-1) ;(4)(zx +x)/(1+xz)
(5)(mn -2m n +m n)/(m-n) ;(6)(f +3f+2)/(40+13f+f )
例題1解析
⑴是 ⑵不是,可化簡:88/888=11/111
⑶是,分子分母無非零次的公因式
⑷不是,將分子分解因式等於x(x-z)
⑸不是,分子分解因式得mn(n+m)(n-m),化簡得-mn(n+m)
⑹是,十字交叉分解因式,分子得(f+1)(f+2),分母得(f+5)(f+8)分子分母無公因式
例題2
將分式化為最簡分式。
(1)(m-n)/(n-m); (2)(pqr)/[(pq) (r ) ];
(3)(50-25+t +10t)/(5+t +6t)
例題2解析
(1)原式=-1
(2)原式=1/(pqr )
(3)原式=(5+t) /(5+t)(1+t)=(5+t)/(1+t)
易錯點
常常有同學在計算中未將結果化簡為最簡分式而因此扣分,因此要特別注意結果分式是否還可以化簡。
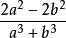
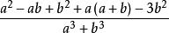
最簡分式例如:計算
最簡分式
最簡分式解:原式==
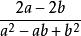
分式運算結果應為最簡分式,上面所得結果的分子、分母有公因式a十b,還應約簡。
最簡分式所以原式=。

