基本介紹
分式的除法法則是:
1.分式除以整式,可用整式乘分母或用整式除分子,即
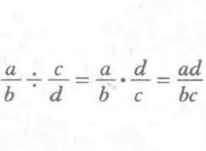
分式除法法則2.整式或分式除以分式,應把除式的分子、分母顛倒位置後與被除式相乘,即
分式除法法則
分式除法法則分式乘除法要注意符號法則,兩數相乘,同號得正,異號得負,多個因式相乘,若負因數個數為奇數,則積為負;若負因數個數為偶數,則積為正,分式乘除的結果必須化成最簡分式,在進行分式乘除混合運算時,同樣要注意運算順序 。
例題解析
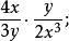
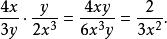
例1 計算:
分式除法法則(1)
分式除法法則(2)
分式除法法則解 (1)
分式除法法則(2)
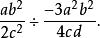
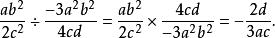
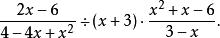
例2 計算:
分式除法法則
分式除法法則解 原式
分式除法法則
