基本介紹
繁分式(complex fraction)是繁分數概念的推廣,指分子或分母至少有一個是分式的分式。繁分式實際上是分式除法的另一種寫法,因此,可利用分式的基本性質和分式的除法法則,把它化成普通分式(分子、分母都是整式的分式),這種變換稱為 繁分式化簡。形如
繁分式的繁分式稱為連分式,連分式在數論的研究中有重要套用 。
例如,
繁分式等都是繁分數。在一個繁分數里,最長的分數,叫做繁分數的 主分數線,簡稱 主線。主線上、下的分數不論如何複雜,都分別是繁分數的分子和分母 。
繁分數的化簡
繁分式化簡的思路有兩條:一是轉化由分式的除法;二是利用分式的基本性質逐次去分母;在計算繁分式及書寫繁分式時,要注意最長的一條分數線。
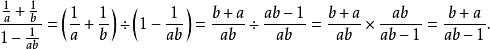
(1) 先分別計算出其分子分母的結果,然後再用除法進行化簡,例如,
繁分式以分子除以分母,
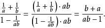
繁分式(2) 套用分數基本性質進行化簡 。例如,
繁分式
