概念
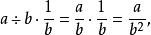
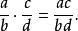
分式乘法法則為:分式乘以分式,用分子的積做積的分子,分母的積做積的分母。即
分式乘法法則分式乘法的注意事項
分式的乘除法法則與分數的乘除法法則類似,法則中的a,b,c,d可以代表數也可以代表整式。
分式乘除法的運算,歸根到底是乘法運算,由乘法法則,應先把分子、分母分別相乘,化成一個分式後再進行約分,但在實際演算時,這樣做有時顯得繁瑣,因此,可根據情況約分,再相乘。
分式的乘除運算,當分子和分母是多項式時,一般應先進行因式分解,再約分,把分子和分母中含有同一字母的多項式按降冪(或升冪)排列後,容易看出分子與分母的公因式,便於約分。
對於分式乘除法,如果只含同級乘除運算,而沒有附加條件(如括弧等),那么就應按照由左到右的順序進行計算如
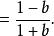
分式乘法法則而
分式乘法法則
分式乘法法則則是錯誤的,這種錯誤是由於按照的順序計算造成的 。
例題解析
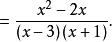
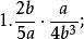
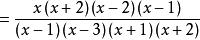
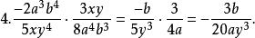
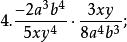
【例1】計算 :
分式乘法法則
分式乘法法則
分式乘法法則
分式乘法法則
分式乘法法則
分式乘法法則解:
分式乘法法則
分式乘法法則
分式乘法法則
分式乘法法則
分式乘法法則
分式乘法法則
分式乘法法則
分式乘法法則
