加減法
加法法則
複數的加法按照以下規定的法則進行:設z1=a+bi,z2=c+di是任意兩個複數,
則它們的和是 (a+bi)+(c+di)=(a+c)+(b+d)i.
兩個複數的和依然是複數,它的實部是原來兩個複數實部的和,它的虛部是原來兩個虛部的和。
複數的加法滿足交換律和結合律,
即對任意複數z1,z2,z3,有: z1+z2=z2+z1; (z1+z2)+z3=z1+(z2+z3).
減法法則
複數的減法按照以下規定的法則進行:設z1=a+bi,z2=c+di是任意兩個複數,
則它們的差是 (a+bi)-(c+di)=(a-c)+(b-d)i.
兩個複數的差依然是複數,它的實部是原來兩個複數實部的差,它的虛部是原來兩個虛部的差。
乘除法
乘法法則
規定複數的乘法按照以下的法則進行:
設z1=a+bi,z2=c+di(a、b、c、d∈R)是任意兩個複數,那么它們的積(a+bi)(c+di)=(ac-bd)+(bc+ad)i.
其實就是把兩個複數相乘,類似兩個多項式相乘,展開得: ac+adi+bci+bdi^2,因為i^2=-1,所以結果是(ac-bd)+(bc+ad)i 。兩個複數的積仍然是一個複數。
除法法則
複數除法定義:滿足(c+di)(x+yi)=(a+bi)的複數x+yi(x,y∈R)叫複數a+bi除以複數c+di的商
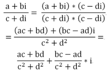
運算方法:可以把除法換算成乘法做,在分子分母同時乘上分母的共軛. 所謂共軛你可以理解為加減號的變換,互為共軛的兩個複數相乘是個實常數.
除法運算規則:
①設複數a+bi(a,b∈R),除以c+di(c,d∈R),其商為x+yi(x,y∈R),
分母有理化即(a+bi)÷(c+di)=x+yi
∵(x+yi)(c+di)=(cx-dy)+(dx+cy)i.
∴(cx-dy)+(dx+cy)i=a+bi.
由複數相等定義可知 cx-dy=a dx+cy=b
解這個方程組,得 x=(ac+bd)/(c^2+d^2) y=(bc-ad)/(c^2+d^2)
於是有:(a+bi)/(c+di)=(ac+bd)/(c^2+d^2) +(bc-ad)/(c^2+d^2)i②利用共軛複數將分母實數化得(見右圖):
點評:①是常規方法;②是利用國中我們學習的化簡無理分式時,都是採用的分母有理化思想方法,而複數c+di與複數c-di,相當於我們國中學習的 的對偶式,它們之積為1是有理數,而(c+di)·(c-di)=c2+d2是正實數.所以可以分母實數化. 把這種方法叫做分母實數化法。

