所謂共軛你可以理解為加減號的變換,互為共軛的兩個複數相乘是個實常數.
先在分子分母上同時乘以(c-di),這是(c+di)的共軛.這樣分母變為常數,做起來就易如反掌了
複數除法複數除法的幾何意義是在複平面內,商的模等於被除數和除數的模的商,商的輻角等於被除數和除數的輻角的差。或者(a+jb)/(c+jd)
=(a+jb)(c-jd)/(c+jd)(c-jd)
=(ac+bd)/(c*2+d*2)+j(bc-ad)/(c*2+d*2)

複數除法,將分母實數化,也就是把除法換算成乘法做,在分子分母同時乘上分母的共軛所謂共軛你可以理解為加減號的變換,互為共軛的兩個複數相乘是個實常數。
所謂共軛你可以理解為加減號的變換,互為共軛的兩個複數相乘是個實常數.
先在分子分母上同時乘以(c-di),這是(c+di)的共軛.這樣分母變為常數,做起來就易如反掌了
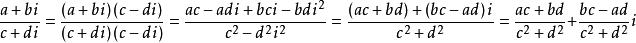
複數除法複數除法的幾何意義是在複平面內,商的模等於被除數和除數的模的商,商的輻角等於被除數和除數的輻角的差。或者(a+jb)/(c+jd)
=(a+jb)(c-jd)/(c+jd)(c-jd)
=(ac+bd)/(c*2+d*2)+j(bc-ad)/(c*2+d*2)
複數是指能寫成如下形式的數a+bi,這裡a和b是實數,i是虛數單位(即-1開根)。在複數a+bi中,a稱為複數的實部,b稱為複數的虛部,i稱為虛數單位。...
歷史 主要內容 產生 共軛複數 複數的輻角我們把形如z=a+bi(a,b均為實數)的數稱為複數,其中a稱為實部,b稱為虛部,i稱為虛數單位。當z的虛部等於零時,常稱z為實數;當z的虛部不等於零時...
簡介 歷史 主要內容 共軛複數 複數的輻角複數運算法則有:加減法、乘除法。兩個複數的和依然是複數,它的實部是原來兩個複數實部的和,它的虛部是原來兩個虛部的和。複數的加法滿足交換律和結合律。此外,...
加減法 乘除法 對數運算法則 指數運算法則《漫畫虛數和複數》是2012-10齣版的圖書,作者是相知政司。
內容介紹 作品目錄《複數龍門專題高中數學》作者傅榮強,科學出版社出版的一本高中數學教材。
3.2複數的三角形式的運算 6.1複數的模的套用 6.2複數的輻角主值的套用
,但j2是實數。 選取j2 = − 1,得到一般複數。取 + 1的話,便得到雙曲複數。 定義雙曲複數的加法和乘法如下,使之符合交換律、結合律和分配律...複數z,w, (z + w) * = z * + w * (zw...
整數正數正整數負數負整數中性數有理數無理數實數複數二進制六十進位制數制轉換...的方法部分積倍連乘乘方平方立方冪積的變化規律階乘整數除法被除數除數商除號除以除等分除包含除短除法長除法試商試商的方法有餘數除法不完全商餘數帶餘數除法...
作品目錄複數 被加數與加數被減數 減數與差被乘數、乘數與積 因數...分數的大小比較分數值的擴大或縮小分數與除法和比的關係 倒數...的速算 除法 等分除包含除 有餘數的除法除法計算中的特殊情況...
