基本介紹
單項式相除,把係數、同底數冪分別相除作為商的因式,對於只在被除式中出現的字母,則連同它的指數一起作為商的一個因式。
說明:兩個單項式相除,只要將係數及同底數冪分別相除就可以了,但是對於只在被除式中出現的字母仍留在商中 。
法則運用的步驟
單項式除以單項式是按係數、同底數冪、被除式中單獨有的字母三個步驟進行的:
①係數相除——有理數的除法;
②相同字母相除——同底數冪的除法;
③只在一個被除式中含有的字母,連同它的指數作為商的一個因式,不能丟掉這個因式。
常見的思維誤區:
(1)忽略符號。
(2)遺漏只在一個單項式中出現的字母 。
例題解析
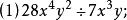
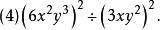
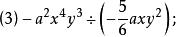
【例1】計算:
單項式除法法則
單項式除法法則
單項式除法法則
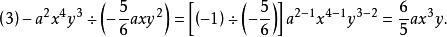
單項式除法法則解:
單項式除法法則
單項式除法法則
單項式除法法則
單項式除法法則點評:解題的依據是單項式除法法則,計算時,要弄清兩個單項式的係數各是什麼,哪些是同底數冪,哪些是只在被除式里出現的字母,此外,還要特別注意係數的符號。強調指出:第(3)小題中,被除式的係數是-1;第(4)小題按運算順序,應先進行乘方運算,再進行除法運算,進一步體會單項式除以單項式法則的套用 。

