人物簡介
張邱建,北魏清河(今邢台市清河縣)人,約公元5世紀,著名的大數學家。他從小聰明好學,酷愛算術。一生從事數學研究,造詣很深。“百雞問題”是中古時期,關於不定方程整數的典型問題,邱建對此有精湛和獨到的見解。著有《張邱建算經》3卷。後世學者北周甄鸞、唐李淳風相繼為該書作了注釋。劉孝孫為算經撰了細草。算經的體例為問答式,條理精密,文詞古雅,是中國古代數學史上的傑作,也是世界數學資料庫中的一份遺產。
《張丘建算經》
《張丘建算經》現傳本有92問,比較突出的成就有最大公約數與最低公倍數的計算,各種等差數列問題的解決、某些不定方程問題求解等。“百雞問題”是《張邱建算經》中的一個世界著名的不定方程問題,它給出了由三個未知量的兩個方程組成的不定方程組的解。百雞問題是:“今有雞翁一,值錢五;雞母一,值錢三;雞雛三,值錢一。凡百錢買雞百隻,問雞翁母雛各幾何。”張邱建給出的解法也很簡單先進,解法只有15個字.
“雞翁每增四,雞母每減七,雞雛每益三,即得.”
這個解法怎么來的呢?用代數方法來說明這一點:
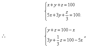
設公雞為x只,母雞y只,小雞z只,則有:
張邱建解得:
張邱建為了得到正整數解,令:
張邱建則得知:
張邱建當1,2,3時,即得到前面所說的三組解:
張邱建自張邱建以後,中國數學家對百雞問題的研究不斷深入,百雞問題也幾乎成了不定方程的代名詞,從宋代到清代圍繞百雞問題的數學研究取得了很好的成就。
百雞問題意義
《張邱建算經》中的“百雞問題”是世界上首次提出的三元一次不定方程及其一種解法,它是我國乃至全世界古代數學史中的一個奇葩.這比歐州發現和研究這個問題要早一千多年.
山東人文
| 山東大地錦繡多姿,人傑地靈,文化淵源流長,山東好漢美名遠揚,齊魯小吃,齊魯美食,一直是吸引遊客的特色。 |
