描述
數學中,微分方程的 弱解或 廣義解是指對該方程中的微分可能不存在,但是在某種精確定義的意義下滿足該方程的解。對於不同種類的微分方程,弱解的定義性質也可能不同。 一類最重要的弱解基於廣義函式的記號。
由於大量用於描述現實世界中現象的微分方程並不具有足夠的光滑的解,從而求解此類方程只能使用弱形式。即使在方程確實具有可微解的情況下,首先證明弱解的存在性然後證明弱解足夠光滑是方便的。
例子
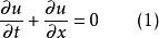
作為弱解的說明,考慮一階波動方程。
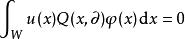
弱解(其中的記號請參閱偏導數)其中 u= u( t, x) 是兩個實變數的函式。假設 u在歐式空間 R上連續可微,在方程的兩側同時乘以一個具緊支集的光滑函式 φ並積分。得到:
弱解使用富比尼定理和分部積分, 該方程化為
弱解以上的陳述表明:如果 u連續可微,方程 (1) 蘊含方程 (2)。弱解概念的關鍵在於存在函式 u對任何 φ滿足方程 (2),而這樣的 u可能不可微,從而不滿足方程 (1)。該方程的一個簡單的例子是 u( t, x) = | t− x| 。(容易證明 u滿足方程 (2).) 方程 (2) 的解 u被稱作方程 (1) 的 弱解。
一般情況
當求解關於 u的偏微分方程時,可以利用所謂的測試函式 φ,使得方程中關於 u的任意階導數都轉化為關於 φ的分部積分,用這樣的方法, 可以得到原方程的不必可微的解。
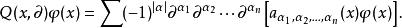
上面的方法不只適用於波動方程,事實上,考慮在域 R上的開集'W'內定義的線性微分運算元
弱解
弱解其中 ( α, α, ..., α) 是某有限集 N上的多維下標變數, 並且係數關於 x足夠光滑。
乘以緊支集上的光滑測試函式 φ,並作分部積分後,微分方程 P( x, ∂) u( x) = 0 可以寫作
弱解其中微分運算元 Q( x, ∂) 滿足
弱解其中
弱解總而言之, 如果原(強)問題是找到一個開集 W上的| α'|階可微函式u, 使得
弱解(所謂的 強解),那么可積函式 u被稱作 弱解。如果
弱解對每個支集 W上的光滑函式 φ均成立。
