基本介紹
平穩點過程具有平穩增量的計數過程稱為 平穩點過程。平衡更新過程是平穩點過程的一個例子。
平穩點過程
平穩點過程
平穩點過程應當指出,有些文獻把這一術語用於對任意有限多個區間,其增量有平穩聯合分布的點過程。即對任意整數和實數和,增量
平穩點過程和
平穩點過程有相同的k維聯合分布。這時,為了把前面提到的具有平穩區間分布的點過程和這種具有較強的平穩性要求的點過程區別開來,常常把前者稱為 粗平穩點過程 。
相關定理及證明
平穩點過程
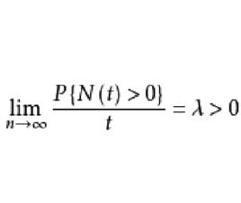
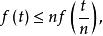
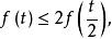
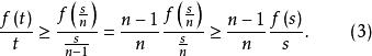
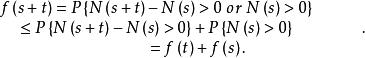
平穩點過程定理1 除了對一切有的平凡情形以外,對任意平穩點過程有
平穩點過程
平穩點過程其中並不排除。
平穩點過程
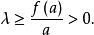
平穩點過程證明: 令且注意到取非負值,且非減,又
平穩點過程因此
平穩點過程
平穩點過程而由歸納法,對一切有
平穩點過程
平穩點過程
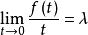
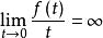
平穩點過程於是,令a使,對一切有
平穩點過程現在定義,由(2)我們得
平穩點過程
平穩點過程
平穩點過程
平穩點過程
平穩點過程
平穩點過程
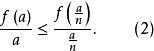
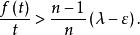
平穩點過程為了證明,我們考慮兩種情形。首先,假設,此時,固定,取使。現在對存在一個整數n使
平穩點過程
平穩點過程由的單調性和式(2)可知,對這個區間中的一切t有
平穩點過程因此
平穩點過程
平穩點過程
平穩點過程
平穩點過程
平穩點過程由於是任意的,且當時,由此推出。
平穩點過程
平穩點過程
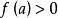
平穩點過程現在假定,此時,固定任意很大的A>0,取s使,則由式(3)推出對一切有
平穩點過程
平穩點過程它蘊含,這就完成了證明 。

