概念介紹
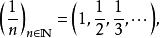
在數學中,某個數列的 子數列是從最初數列通過去除某些元素(有限或無限項)但不破壞餘下元素的相對位置(在前或在後)而形成的新數列。
子數列
子數列正式的說,假設X是集合而(a)是X中的數列,這裡的K={1,2,3,...,n},如果(a)是有限數列,且K= ,當(a)是無限數列。則(a)的子數列是形如 的數列,這裡的(n)是在索引集合K中嚴格遞增數列。
定義
子數列
子數列假設有一條數列 。可以在裡面抽出指定的項組成新的子數列, 。
子數列
子數列
子數列因為 是自然數,而且它會隨著項數增加而增加,所以它的子數列 , 都會隨著項數增加而增加。
注意:子數列的次序必須和主數列的次序一樣。
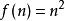
例子
子數列
子數列,只抽出雙數項,就會有子數列, 。
性質
定義一
子數列
子數列令 為一實數列及 為一組自然數數列。那么,數列
子數列
子數列
子數列
子數列是的一子數列。其符號表示為,其中是子數列的索引。
證明
子數列
子數列
子數列
子數列比任何,根據定理得知,會有一個自然數,所對應的第項符合,。
子數列
子數列根據子數列的定義,它都會和所對應的第項符合,。
子數列因此,子數列都趨向。
定義二
子數列
子數列
子數列
子數列令及各自為某個數列。那么,是的一子數列,如果:
子數列
子數列是由的元素所組成。
子數列
子數列
子數列存在一嚴格遞增函式,使得對所有,。
例子
子數列令為一數列,
子數列那么,以下數列
子數列
子數列
子數列
子數列
子數列是的子數列之一。對應定義里的自然數子數列為,而所對應的映射函式為。
參見
•數列
•子數列極限
•上極限和下極限
•Erdős–Szekeres定理

