基本概念
數列
數列極限
數列極限定義 若函式的定義域為全體正整數集合,則稱
數列極限
數列極限
數列極限為數列。因正整數集的元素可按由小到大的順序排列,故數列也可寫作
數列極限
數列極限
數列極限或可簡單地記為,其中稱為該數列的通項。
數列極限
數列極限
數列極限
數列極限定義設為數列,a為定數。若對任給的正數,總存在正整數N,使得當時有
數列極限
數列極限
數列極限則稱數列收斂於a,定數a稱為數列的極限,並記作
數列極限
數列極限
數列極限
數列極限若數列沒有極限,則稱不收斂,或稱發散。
數列極限
數列極限
數列極限等價定義任給,若在(a-ε,a+ε)之外數列中的項至多只有有限個,則稱數列收斂於極限a。
幾何意義
當n>N時,所有的點xn都落在(a-ε,a+ε)內,只有有限個(至多只有N個)在其外,如右圖1
圖1性質
數列極限唯一性 若數列 收斂,則它只有一個極限。
數列極限
數列極限
數列極限有界性 若數列 收斂,則 為有界數列,即存在正數 ,使得對一切正整數n有
數列極限
數列極限
數列極限
數列極限
數列極限
數列極限
數列極限
數列極限保號性 若 (或 ),則對 (或 ),存在正數N,使得當 時,有 (或 )。
數列極限
數列極限
數列極限
數列極限
數列極限保不等式性 設 與 均為收斂數列。若存在正數 ,使得當 時有 ,則
數列極限
數列極限
數列極限
數列極限迫斂性 設收斂數列 , 都以a為極限,數列 滿足:
數列極限
數列極限
數列極限
數列極限存在正數 ,當 時有 則數列 收斂,且
數列極限四則運算法則
數列極限
數列極限
數列極限
數列極限
數列極限若 與 為收斂數列,則 , , 也都是收斂數列,且有
數列極限
數列極限
數列極限
數列極限
數列極限若再假設 及 ,則 也是收斂數列,且有
數列極限存在的條件
單調有界定理 在實數系中,單調有界數列必有極限。
緻密性定理 任何有界數列必有收斂的子列。
套用
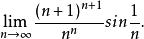
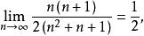
數列極限(1)求極限
解:
數列極限
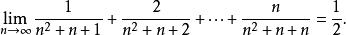
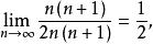
數列極限(2)求極限
解:
因為
數列極限
數列極限且
數列極限
數列極限所以,由迫斂性可得
數列極限
