推導
坡印廷定理是根據麥克斯韋方程組(包含法拉第電磁感應定律及改進的安培定律等)推導出來的。
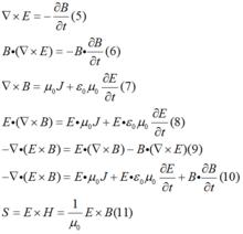
坡印廷定理首先考慮法拉第電磁感應定律(公式5),對其兩邊取B的點積得公式6;然後利用改進的安培定律(公式7),對其兩邊取與E的點積,得公式8。然後將等式(8)減去(6)並將恆等式(9)帶入,得到等式(10)。由於坡印廷矢量S定義為公式(11),帶入(10)化簡就可以得到等式(4)。這就推導出了表征電磁能量守恆關係的坡印廷定理 。
公式
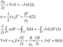
坡印廷定理的微分形式參見公式(1),式中 S是坡印廷矢量,表示能量的流動; J是電流密度;E是電場強度。真空中的能量密度u的表達式參見公式(2),式中ε0是真空電導率,μ0是真空磁導率。由於電場不做功,(1)式的右端便給出了電磁場每秒·立方米所做的總功的負值。
坡印廷定理的積分形式參見式(3),dV是包圍著體積V的曲面。
坡印廷定理在工程領域,該定理通常寫成將能量密度u展開的形式,參見公式(4),這與流體力學的連續性方程相似。
公式形式
1、積分形式的坡印廷定理
對於由閉合曲面A所限定的體積V,有:
坡印廷定理這就是電源外區域的、積分形式的坡印廷定理。它的含義是:垂直穿過閉合面A進入體積V的功率,等於體積內電磁儲能的增長率與由傳導電流Jc引起的功率損耗之和。更一般的情況是:
坡印廷定理式中Ec為電源中的局外場強,Jc為傳導電流,σ為體積V內介質的電導率,ρ為運動電荷的電荷密度,v為該電荷的運動速度,E=J/σ-E為總場強。整個方程的含義是:外源提供的功率等於體積v內電磁能量的增加率、傳導電流的功率損耗、運動電荷作功耗損的功率、垂直穿過曲面A向外界輸送的功率之總和。
2、微分形式的坡印廷定理
坡印廷定理這是就場中某一點而言的。式中
坡印廷定理再思考
對坡印廷定理的再思考:
我們這裡討論的直流電是指不隨時間變化的穩恆電流。在這種情況下,公式(1)中右邊第2項的位移電流為0。於是公式(1)成為安培定律的經典形式:
∇ × H = j c(8)
公式(8)的微分形式來源於安培定律的積分形式:通電導線的周圍有環形磁場。而電流以及傳導電流密度jc是由電池的電動勢驅動導線中的大量電子產生的。使用E點積方程(8)的兩邊,
E ⋅ ∇ × H = E ⋅ j c (9)
從物理意義上說,方程(9)的右邊代表導線內部的電功率密度,方程(9)左邊物理意義是不明確的。它究竟是代表導線內部的物理量還是導線外部的物理量?如果它是代表導線外部的物理量,jc = 0,方程(9)左邊也是0。如果它是代表導線內部的物理量,那么方程(9)左邊的H不能代表通電導線周圍的環形磁場。
由方程(9),我們注意到:在直流電路的情況下,上一節推導出的坡印亭矢量只是一個數學定義。它在直流電路沒有形成真正的能流。圖1顯示的大學電磁學教課書的觀點:“認為電能是在導線外部通過坡印亭矢量傳輸到電路內部的觀點”,是不正確的。
庫侖靜電場是縱向電場。在直流電路中,金屬線中的電場也是縱向電場。雖然這兩個電場有一些相似之處,但事實上電源是有差別的。庫侖靜電場的電源是孤立電荷,直流電路的電源是電池,電池通過金屬線連線到負載電阻器。
在直流電路的情況下,通電導線邊界處的電場的邊界條件並不清楚的,是否存在淨電荷也是不明確的。由於靜電場可以用金屬蓋禁止,所以我們對於直流電路做了一些測試。在直流電路中,我們串聯一個電流表。1) 我們用金屬蓋禁止電池;2) 我們用金屬蓋禁止電阻器;3) 我們使用同軸電纜禁止內部電線。結果如下:電流表的讀數基本相同(精度為4位)。這些測試表明,在直流電路中,外部電場(包括金屬線界面附近的外部電場)的分布對金屬線內的電場基本上沒有影響。
總之,直流電能的傳輸過程與位移電流無關,所以也與坡印亭定理無關。在直流電路的情況下,電路內部的大量自由電子在電源的電動勢的驅動下運動,電動勢能轉化為自由電子動能,形成了電流。在這種情況下,坡印亭矢量只是一個數學定義,它沒有形成真正的能流,所以電磁能流不是從金屬導線的外部傳輸到內部的。也就是說,直流電能完全是在通電導線的內部傳輸的。
在推導坡印亭定理的過程中,從方程(4)到方程(5),用到了法拉第定律。這個過程說明必須有個交變磁場產生交變電場的物理過程。這個過程在自由空間以及絕緣介質中的電磁波存在。
另外,當用上述經典的微分運算元把E的點積代入方程(1)的兩邊進行運算時,我們必須考慮我們採取微分運算的局部微小點在哪裡。如果這個局部微小點在導線之外,則傳導電流密度jc為零,這時坡印亭定理(7)退化為:
− ∇ ⋅ ( E × H ) = ∂ ∂ t ( ε E 2 2 + μ H 2 2 ) (10)
方程(10)僅僅是方程(7)的一個特例,其中傳導電流密度jc是零。方程(10)反映了電磁波在自由空間以及絕緣介質的傳輸過程。在直流電路的情況,導線外的電場強度以及電場強度都不隨時間變化,方程(10)的右邊為0;左邊坡印亭矢量的散度是0。
另一方面,如果局部微小點位於導線內部,則傳導電流密度jc和E在不同位置可能是不同的。更加重要的關鍵點:我們必須從物理源頭上搞清楚,導線內部的電場強度E和傳導電流密度jc是如何產生的。這個過程需要區分二種不同的情況:
1) 如果它們是由閉合電路中電源的電動勢產生的,那么這個物理過程不涉及到交變磁場產生交變電場,也就不涉及坡印亭定理。
2) 如果是電磁波傳輸到接收天線,在接收天線的導線內產生了電場強度E和電流密度j,那么這個物理過程需要坡印亭定理。所以,坡印亭定理(7)是有一定適用範圍的。

