定義
嚴格凸函式
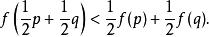
嚴格凸函式嚴格凸函式是定義在某個向量空間的凸子集C(區間)上的實值函式 (x) ,而且對於凸子集C中任意兩個向量p,q, 滿足
嚴格凸函式
嚴格凸函式
嚴格凸函式則稱 是定義在凸子集C中的嚴格凸函式。容易證明,其定義等價於若 滿足
嚴格凸函式
嚴格凸函式
嚴格凸函式
嚴格凸函式對任意兩個向量p,q成立。特別地,若這裡凸集C即某個區間 I ,那么就是:設 為定義在區間 I 上的函式,若對 I 上的任意兩點 和 ,有
嚴格凸函式
嚴格凸函式成立,則稱 是定義在區間I 中的嚴格凸函式。
在上面的定義中,若將小於號改變小於等於,則上面的函式稱之為凸函式。
判別方法
引理
嚴格凸函式
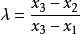
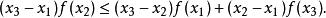
嚴格凸函式為 I上的凸函式的充要條件是:對於I的任意三點 ,總有
嚴格凸函式證明:
必要性:
嚴格凸函式
嚴格凸函式設 ,則有 ,由凸性的定義代入,從而有
嚴格凸函式整理後即可得到。
充分性:
嚴格凸函式
嚴格凸函式
嚴格凸函式在I上任取兩點 ,在 上任取一點 ,由必要性的推導逆過程,可證得
嚴格凸函式
嚴格凸函式故為I上的凸函式。 證畢。
推論1
嚴格凸函式為 I上的函式,下列條件等價:
嚴格凸函式1) 為 I上的凸函式的。
嚴格凸函式2) 為I上的增函式。
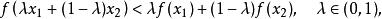
嚴格凸函式3) 對I上的任意兩點 ,有
嚴格凸函式推論2
對於實數集上的凸函式,如果其二階導數在區間上非負,就稱為凸函式。如果其二階導數在區間上恆大於0,就稱為嚴格凸函式。
嚴格凸函式的性質
1)一元可微函式在某個區間上是嚴格凸的,若且唯若它的導數在該區間上嚴格單調增。
嚴格凸函式
嚴格凸函式
嚴格凸函式2)一元連續可微函式在區間上是嚴格凸的,若且唯若函式位於所有它的切線的上方:對於區間內的所有x和y,都有 。特別地,如果 ,那么c是 的最小值。
3)一元二階可微的函式在區間上是嚴格凸的,若且唯若它的二階導數是正的;這可以用來判斷某個函式是不是嚴格凸函式,但反過來不成立。更一般地,多元二次可微的連續函式在凸集上是嚴格凸的,若且唯若它的黑塞矩陣在凸集的內部是嚴格正定的。
4)嚴格凸函式的任何極小值也是最小值。嚴格凸函式最多有一個最小值。
嚴格凸函式
嚴格凸函式
嚴格凸函式5)對於嚴格凸函式 ,水平子集 和 是嚴格凸集。
6)延森不等式 對嚴格凸函式 f 都成立。
嚴格凸函式
嚴格凸函式
嚴格凸函式
嚴格凸函式7)如果 和 是嚴格凸函式,那么 和 也是嚴格凸函式。
嚴格凸函式
嚴格凸函式
嚴格凸函式
嚴格凸函式8) 如果 和 是嚴格凸函式,且 遞增,那么 是嚴格凸函式。
嚴格凸函式
嚴格凸函式9) 凸性在仿射映射下不變:也就是說,如果 是凸函式,那么 也是凸函式。
等等性質。
注
某些教材的凸函式定義與此定義相反,即凸函式與凹函式相反。如北京大學版本和中山大學的數學教材。

