基本介紹
全局極小點定義1 若對於任意的,都有
全局極小點
全局極小點
全局極小點
全局極小點
全局極小點
全局極小點則稱為的一個 全局極小點。若上述不等式嚴格成立且,則稱為的一個 嚴格全局極小點。
全局極小點定義2 若對於任意的,都有
全局極小點
全局極小點
全局極小點
全局極小點
全局極小點
全局極小點
全局極小點則稱為的一個 局部極小點,其中為某個常數。若上述不等式嚴格成立且,則稱為的一個 嚴格局部極小點。
由上述定義可知,全局極小點一定是局部極小點,反之不然.一般來說,求全局極小點是相當困難的,因此,通常只求局部極小點(在實際套用中,有時求局部極小點已滿足了問題的要求) 。
全局極值
全局極小點
全局極小點
全局極小點
全局極小點
全局極小點
全局極小點
全局極小點
全局極小點
全局極小點
全局極小點
全局極小點
全局極小點
全局極小點
全局極小點全局極值(global extreme value)是實值函式在某區域取得極小或極大的值。設X為R中的集合,f為X上的實值函式,對於,如果對所有的均滿足(),則稱為在X上的 全局極小(大)點,為 全局極小(大)值。若對所有的,且,均有(),則稱為在X上的 嚴格全局極小(大)點,為 嚴格全局極小(大)值 。
凸函式的全局極小點
凸函式的極值(extreme value of convex function)是凸函式在某點鄰域(或某區域)內取得的極小值或極大值。凸函式的極值有以下性質:
全局極小點1.若為定義在凸集S上的凸函式,則它的任一局部極小點就是它在S上的全局極小點,而且它的極小點形成一個凸集。
全局極小點
全局極小點
全局極小點
全局極小點
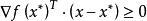
全局極小點
全局極小點2.設為定義在凸集S上的可微凸函式,若存在點,使得對於所有的,有,則是在S上的全局極小點。
3.定義在凸集上的凸函式的駐點(梯度為0的點),就是其全局極小點。全局極小點並不是惟一的,但若為嚴格凸函式,則其 全局極小點是惟一的 。

