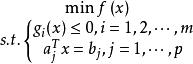
凸規劃標準形
定義
凸規劃
凸規劃
凸規劃設及均為上的凸函式,則稱最最佳化問題
凸規劃為凸規劃。
與一般的最最佳化問題標準形式相比,凸規劃有三點附加條件:
凸規劃(1)目標函式必須是凸函式;
凸規劃
凸規劃(2)不等式約束函式必須是凸函式,不等式組成的區域為凸集;
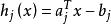
凸規劃(3)等式約束函式必須是仿射的(即線性函式和常函式的和函式)。
因此我們得出以下結論:凸規劃的可行域是凸集。因為每個約束條件的點集都是凸集,它們的交集也是凸集。
凸規劃的性質
(1)凸規劃問題的任一局部極小點是全局極小點,且全體局部極小點的幾何為凸集;
凸規劃(2)當凸規劃的目標函式為嚴格凸函式時,若存在最優解,則這個最優解一定是唯一的最優解。
最優性條件
凸規劃
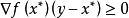
凸規劃設凸規劃問題中的目標函式是可微的,記可行域為,即
凸規劃
凸規劃
凸規劃則是最優點的充分必要條件是對任意的,有
凸規劃
