全局最佳化問題
全局最佳化問題的一般形式是:
確定性算法
確定性算法
確定性算法
確定性算法
確定性算法
確定性算法
確定性算法其中, 是可行域, 是目標函式。上述問題一般稱為原問題,這裡記為問題(1)。根據可行域X的不同情況,問題(1)又可分為多種類型。如果X= ,則得無約束全局最佳化問題,記為問題(2);如果X={ | }為一個閉箱,則得閉箱約束全局最佳化問題,記為問題(3);如果X是一個多面體,則得線性約束全局最佳化問題。
填充函式法
填充函式是由西安交通大學的R.Ge(葛仁溥)教授首先提出的,填充函式法充分地利用了函式在可行域上的局部性質。
填充函式的定義如下:
確定性算法
確定性算法函式p(x, )稱為f(x)在局部極小點 處的填充函式,如果滿足:
確定性算法
確定性算法
確定性算法
確定性算法
確定性算法(1) 是p(x, )的一個嚴格局部極大點,f(x)在點 處的盆谷 成為p(x, )的峰的一部分;
確定性算法
確定性算法(2) p(x, )在比 高的盆谷里沒有平穩點;
確定性算法
確定性算法
確定性算法
確定性算法
確定性算法(3) 如果存在比 低的盆谷 ,則存在x'∈ 主使得p(x, )在x'和 的連線上存在極小點.
由填充函式的定義可以看出,如果當前極小點不是全局極小點的話,通過極小化填充函式則可以跳出原問題當前局部極小點,併到達一個原問題函式值比當前局部極小值還要小的點。因此,從該點出發極小化原問題目標函式,必將導致一個原問題目標函式值更小的局部極小點。
確定性算法
確定性算法
確定性算法
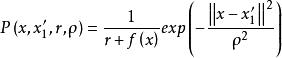
確定性算法填充函式算法由兩個階段組成:極小化階段和填充階段。這兩個階段交替使用直到找不到更好的局部極小點。在第一階段里,可以用經典的極小化算法尋找目標函式的一個局部極小值點 。然後進入第二階段,在當前極小點 處定義一個填充函式,通過極小化填充函式,找到點 ,使得 ,而後以x'為初始點,重複第一步,一直到找不到更好的局部極小點。為此葛仁溥給出了一個兩個參數的填充函式函式:
確定性算法填充函式的優點是較多地利用了函式的性質,所以收斂速度比較快,算法的設計和執行也相對容易;缺點是填充函式過多依賴一些未知參數,這就增加了算法設計之前的工作量,要經大量的實驗,來確定參數的取值範圍,以確保能找到滿意的全局最優解,而且填充函式利用的是線搜尋,所以對尋找低盆谷的點也有很大的難度。
打洞函式法
打洞函式法是由Levy和Montalvo在1985年首先提出的,它由一系列循環組成,每個循環包括兩個階段:局部極小化階段和打洞階段。
確定性算法
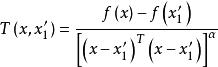
確定性算法首先是極小化階段,由一個初始點出發,套用局部極小化算法,求得f(x)的一局部極小點 。其次是打洞階段,先定義 處的打洞函式:
確定性算法
確定性算法
確定性算法
確定性算法
確定性算法
確定性算法這裡 是 的強度,然後尋找T(x, )≤0的點,即找到 ,使 ,由x'作為初始點開始下一輪循環,必將得到一個更好的極小點。
採用適當極小化打洞函式的方法找到一個局部極小點x',並對其進行討論:
確定性算法
確定性算法
確定性算法(1) 如果x'= ,則增大 ,使得x'不再是T(x, )的局部極小點。
確定性算法
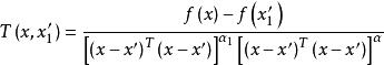
確定性算法(2) 如果x'≠ :並且 ,那么構造新的打洞函式:
確定性算法
確定性算法
確定性算法
確定性算法
確定性算法
確定性算法這裡, 是 的強度,目的是使x'不再是T(x, )的局部極小點,防止極小化T(x, )時又得到x',然後重新極小化T(x, )。
確定性算法(3) 如果f(x')≤f( ),則由x'為初始點開始下一輪循環。
打洞函式存在下述缺陷:
確定性算法
確定性算法
確定性算法(1) 極的強度 與問題有關,當 增大到足夠大時算法才會有效,而增加 ,算法必須重新開始,從而增加工作量。
確定性算法(2) 打洞函式可能找到另一局部極小點x',成立f(x')≥f( )。這樣對於第二個局部極小點x',必須加上另一個極,打洞過程又要重新開始,又增加了工作量。
(3) 極的增加會引起打洞函式成為平坦,這時候極小點很難求。
D.C.規划算法
通過引入變數t,下面的D.C.規劃問題:
確定性算法
確定性算法可以轉化為等價的凹極小化問題(記為問題(4)):
確定性算法
確定性算法
確定性算法
確定性算法
確定性算法顯然,目標函式 是凹的,可行域 是一個凸集,因此,如果(x‘,t‘)是問題(4)的一個全局最優解,則x’是D.C.規劃問題的一個全局最優解,且t‘=f(x‘)。
因此,對於任一D.C.規劃問題都可以通過凹極小化算法求解。對於凹極小化問題,人們已經提出了一些算法,這些算法多以分枝定界技巧、割平面方法、最優性條件和整數規劃等方法為基礎,且它們的有效性依賴於所要解決問題的結構特點。
區間方法
區間方法考慮的是問題(2),其基本思想是以區間分析為基礎,按照區間算術運算規則用區間變數代替點變數進行區間計算,並將分支定界法和Moore-Skelboe算法等方法相結合。對這類算法,Moore首次提出區間全局最佳化這一概念。在這一研究領域裡,所有的算法都包含精確區間計算,以及算法的執行效率依賴於目標函式、梯度和約束區間擴張的構造方法。這類方法一般分為五個基本步驟:定界、分支、終止、刪除和分裂。其中包括區間分裂規則、刪除規則及區間選擇規則,不同的區間算法在於這幾種規則的不同處理手段上。
區間方法和其他方法(即以點搜尋方式產生近似點序列)相比,它的突出優點是對於低維空間中全局最佳化問題,能在給定精度內求出問題的全部全局極小點。特別地,對於二維空間中的單變數目標函式,建立了計算效率很高的求一元函式全局極小的區間斜率算法。缺點是當用於高維全局最佳化問題時,算法的計算量很大,對於區間分裂規則、刪除規則及區間選擇規則以及它們的檢驗條件的確定,難度都很大。
分支定界方法
在分支定界算法中,可行域得到鬆弛,並且把原區域逐次分割成越來越多的小區域,這個過程稱為分支;在這些小區域內,確定目標函式的下界和上界,這個過程稱為定界。在算法的某個階段,對於在其內下界大於當前最小的上界的小區域,將其刪除,這個過程稱為剪支,因為這些小區域中顯然不包含最優解。隨著分支越來越細,最小上界的不斷下降,最大下界的不斷上升,當最大下界和最小上界之差趨於零,同時細分的小區域收縮為一個點時,我們可以得到目標函式的全局極小值和全局極小點。
各種分支定界算法在求解連續變數的全局最最佳化問題時,有如下共同的特點:
(1) 對目標函式和可行域有較高的要求,以便於分支和定界。算法的效率與分支和定界方法的效率緊密相關。
(2) 在算法實施時,需要儲存越來越多的細分的小區域和目標函式在其上的下界,這使得在編程時,對數據結構的選擇、計算機記憶體的使用提出了更高的要求。

