一元函式可微性
定義1
可微性
可微性
可微性
可微性
可微性
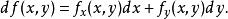
可微性設函式 定義在點 的某鄰域 上,當給 一個增量 , 時,相應地得到函式的增量為
可微性
可微性如果存在常數A,使得 能表示成
可微性
可微性
可微性
可微性則稱函式f在點 可微,並稱(1)式中的第一項 為f在點 的微分,記作
可微性
可微性
可微性
可微性
可微性
可微性
可微性由定義可見,函式的微分與增量僅相差一個關於 的高階無窮小量,由於 是 的線性函式,所以當 時,也說微分 是增量 的線性主部。
可微性容易看出,函式數f在點 可導和可微是等價的。
定理1(可微的充要條件)
可微性
可微性
可微性函式f在點 可微的充要條件是函式f在點 可導,而且(1)式中的A等於 。
二元函式可微性
定義2
可微性
可微性
可微性
可微性
可微性
可微性
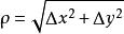
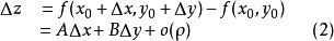
可微性設函式 在點 的某領域 上有定義,對於 中的點 ,若函式f在點 處的全增量 可表示為
可微性
可微性
可微性
可微性
可微性
可微性
可微性
可微性
可微性其中A,B是僅與點 有關的常數, , 是較 高階的無窮小量,則稱函式f在點 可微。並稱(2)式中關於 的線性函式 為函式 f在點 的全微分 ,記作
可微性
可微性
可微性
可微性
可微性
可微性由(2)(3)可見 是 的線性主部,特別當 充分小時,全微分 可作為全增量 的近似值,即
可微性定理2(可微的必要條件)
可微性若二元函式f在其定義域內一點 可微,則f在該點關於每個自變數的偏導數都存在,且(2)式中的
可微性
可微性因此,函式f在點 的 全微分(3)可惟一地表示為
可微性
可微性若函式f在區域D上的每一點 都可微,則稱函式f在區域D上可微,且在D上全微分為
可微性我們知道,一元函式可微與存在導數是等價的。而對於多元函式,偏導數即使都存在,該函式也不一定可微。那么不禁要問:當所有偏導數都存在時,還需要添加哪些條件,才能保證函式可微呢?
定理3(可微的充分條件)
可微性
可微性
可微性
可微性
可微性
可微性若函式 的偏導數在點 的某領域上存在,且 與 在點 連續,則函式f在點 可微 。
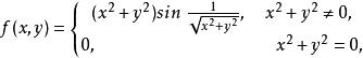
注意 偏導數連續並不是函式可微的必要條件,如函式
可微性
可微性
可微性
可微性
可微性
可微性
可微性
可微性
可微性在原點 可微,但 與 卻在點 不連續。若 在點 的偏導數 連續,則稱f在點 連續可微。
多元函式的可微性
可微性
可微性類似地可定義n元函式 在點 可微的概念。
定義3
可微性
可微性
可微性
可微性
可微性
可微性
可微性
可微性
可微性設函式 在點 的某領域 上有定義,任給 的改變數 ,使 ,其中 。若函式 在點 的全改變數
可微性可表示為
可微性
可微性
可微性
可微性
可微性
可微性
可微性
可微性
可微性
可微性其中 是僅與點 有關,而與 無關的常數,則稱函式 在點 可微 ,並稱 為函式 在點 的 全微分,表示為 ,即
可微性定理4(可微的充要條件)
可微性
可微性函式在點可微的充分必要條件是 :
可微性
可微性
可微性
可微性
可微性
可微性其中,,,是僅與有關,而與無關的常數。
