基本介紹
行向量、列向量 若 A為一m×n矩陣, A的每一行為一個實的n元組,於是可將其看成是 R 中的一個向量。對應於 A的m個行的向量稱為 A的 行向量(row vector)。類似地, A的每一列可以看成是 R 中的一個向量,且稱這n個向量為 A的 列向量(column vector)。
行空間、列空間 如果 A為一m×n矩陣,由 A的行向量張成的 R 的子空間稱為 A的 行空 間(row space)。由 A的各列張成的 R 的子空間稱為 A的 列空間(column space)。
例1 令
列空間A的行空間是所有如下形式的3元組:
列空間A的列空間是所有如下形式的向量:
列空間因此, A的行空間為一個 R 的二維子空間,且 A的列空間為 R。
列空間與線性方程組
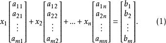
列空間在研究線性方程組時,行空間和列空間的概念十分有用,一個方程組可寫為
列空間
列空間
列空間定理1(線性方程組的相容性定理) 一個線性方程組相容的充要條件是 b在的列空間中。
若將 b用零向量替代,則(1)化為
列空間
列空間
列空間
列空間由(2)知,若且唯若的列向量線性無關時,方程組僅有平凡解。
列空間
列空間
列空間
列空間
列空間
列空間
列空間定理2 令為一m×n矩陣, 若且唯若的列向量張成 R 時,對每一,線性方程組是相容的,若且唯若的列向量線性無關時,對每一,方程組至多有一個解。
列空間
列空間
列空間推論 若且唯若一個n×n矩陣的列向量為的一組基時,是非奇異的。
一般地,矩陣的秩和其零空間的維數加起來等於矩陣的列數。一個矩陣的零空間的維數稱為矩陣的零度(nullity)。
列空間
列空間
列空間定理3(秩一零度定理) 若為一m×n矩陣,則的秩與的零度的和為n 。
相關定理
定理4 兩個行等價的矩陣有相同的行空間。
證明: 若 B行等價於 A,則 B可由 A經有限次行運算得到。因此, B的行向量必為 A的行向量的線性組合。所以, B的行空間必為 A的行空間的子空間,因為 A行等價於 B,由相同的原因, A的行空間是 B的行空間的子空間。
定義 A的行空間的維數稱為矩陣 A的秩(rank)。
為求矩陣的秩,可以將矩陣化為行階梯形矩陣,行階梯形矩陣中的非零行將構成行空間的一組基。
例2令
列空間將 A 化為行階梯形,得到矩陣
列空間
列空間
列空間顯然,(1,-2,,3)和(0,1,5)構成的行空間的一組基。因為和 A是行等價所以它們有相同的行空間,且因此 A 的秩為2。
列空間
列空間
列空間一般地,若 A為一m×n矩陣,且是 A的行階梯形,則由於若且唯若時,,故它們的列向量滿足相同的依賴關係。
定理5若 A為一m×n矩陣,則 A的行空間的維數等於 A的列空間的維數 。
列空間
列空間
列空間
列空間
列空間
列空間
列空間
列空間
列空間
列空間
列空間
列空間
列空間
列空間證明: 若 A為一秩為r的m×n矩陣,則 A的行階梯形將有r個首1元素。中對應於首1元素的列將是線性無關的。然而,它們並不構成 A的列空間的基,這是因為,一般地, A和有不同的列空間。令為消去中自由變數所在的列得到的新矩陣。從 A中消去相應的列,並記新矩陣為。矩陣和也是行等價的。因此,若 x為的一個解,則 x必為的解。因為的各列是線性無關的,故 x必為 0,因此,的各列也是線性無關的,因為有r列,所以 A的列空間的維數至少為r。因為對任何矩陣,其列空間的維數大於或等於行空間的維數,將這個結論套用於,我們有
列空間dim( A的行空間)=dim(的列空間)
列空間≥dim(的行空間)
=dim( A的列空間)
因此,對任何矩陣 A,行空間的維數必等於列空間的維數。
列空間
列空間我們可以利用 A的行階梯形求 A的列空間的一組基。我們只需求中對應於首1元素的列即可。 A中的相應列將是線性無關的,並構成 A的列空間的一組基。
列空間
列空間
列空間注意: 行階梯形僅告訴我們 A的哪一列用於構成基。但不能用的列作為基向量,這是因為和 A一般有不同的列空間。

