定義
分布函式
分布函式設X是一個隨機變數,x是任意實數,函式 稱為X的分布函式。有時也記為 。
分布函式對於任意實數 ,
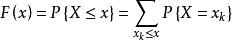
分布函式
分布函式
分布函式因此,若已知X的分布函式,就可以知道X落在任一區間上的機率,在這個意義上說,分布函式完整地描述了隨機變數的統計規律性。
分布函式如果將X看成是數軸上的隨機點的坐標,那么,分布函式F(x)在x處的函式值就表示X落在區間 上的機率。
分布函式的性質
F(x)為隨機變數X的分布函式,其充分必要條件為:
1.非降性
(1)F(x)是一個不減函式
分布函式對於任意實數
2.有界性
分布函式(2)
分布函式
分布函式
分布函式
分布函式從幾何上說明,將區間端點x沿數軸無限向左移動(即 ),則“隨機點X落在點x左邊”這一事件趨於不可能事件,從而其機率趨於0,即有 ;又若將點x無限右移(即 ),則“隨機點X落在點x左邊”這一事件趨於必然事件,從而趨於機率1,即有
3右連續性
分布函式(3) ;
證明:因為 F(x)是單調有界非減函式,所以其任一點x的右極限F(x+0)必存在。
分布函式
分布函式為證明右連續,由海涅定理,只要對單調下降的數列 當 時,
分布函式證明 成立即可。 因為 :
分布函式
分布函式
分布函式所以得,
離散性隨機變數的分布函式
分布函式設離散性隨機變數X的分布列為
分布函式由機率的可列可加性得 ,
分布函式即
分布函式
分布函式
分布函式
分布函式
分布函式
分布函式
分布函式
分布函式
分布函式
分布函式
分布函式
分布函式
分布函式其中和式是對滿足 的一切k求和.離散型隨機變數的分布函式是分段函式, 的間斷點就是離散型隨機變數的各可能取值點,並且在其間斷點處右連續.離散型隨機變數 的分布函式 的圖形是階梯形曲線. 在 的一切有(正)機率的點 ,皆有一個跳躍,其跳躍度正好為 取值 的機率 ,而在分布函式 的任何一個連續點x上, 取值x的機率皆為零。
離散型隨機變數的分布律和它的分布函式是相互唯一決定的。它們皆可以用來描述離散型隨機變數的統計規律性,但分布律比分布函式更直觀簡明,處理更方便。因此,一般是用分布律(機率函式)而不是分布函式來描述離散型隨機變數。
連續性隨機變數的分布函式
1.定義
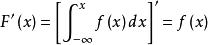
分布函式設X為連續型隨機變數,其密度函式為 ,則有
分布函式對上式兩端求關於x的導數得
分布函式這正是連續型隨機變數X的分布函式與密度函式之間的關係。
2.幾種常見的連續性隨機變數的分布函式
分布函式
分布函式(1)設 ,則隨機變數X的分布函式為
分布函式
分布函式(2)設 ,則隨機變數X的分布函式為
分布函式
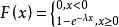
分布函式(3)設 ,則隨機變數的分布函式為
分布函式
分布函式對於 ,其分布函式為
聯合分布函式
定義
分布函式給定一個隨機變數 ,稱定義域為整個平面的二元實值函式
分布函式為隨機變數(X,y)的分布函式。或稱為X與y的聯合分布函式.
分布函式
分布函式按照分布函式的定義:,其中,區域 如右圖所示
F(x,y)的幾何解釋性質
分布函式
分布函式設 是隨機變數 的分布函式,
分布函式(1) ;
(2)固定一個自變數的值時,作為一元函式關於另一個自變數是單調不減的;
分布函式
分布函式(3)對任意固定一個y, ;對任意同固定一個x, ;
分布函式
分布函式(4) , ;
分布函式(5)固定一個自變數的值時, 作為一元函式關於另一個自變數至少有連續;
分布函式(6)對任意的 有:
分布函式。

