定義
凸組合
凸組合
凸組合
凸組合
凸組合設向量 如有實數 ,且 ,則稱 為向量 的一個 凸組合(凸線性組合)。
凸集與凸組合
凸集與凸組合之間的聯繫如下:
凸組合(1) 如果點 的任意凸組合仍包含在D中,則D一定為凸集。
凸組合
凸組合
凸組合
凸組合
凸組合(2) 設 為凸集D中的一點,如果不存在D中的相異點 以及某一實數 ,使得 ,則稱 是D的極點,有界閉凸集中的每一個非極點必定是其極點的凸組合。
凸組合的幾何意義
凸組合
凸組合
凸組合下面研究在 中向量凸組合的幾何意義,在這裡,深入研究 的向量,與其說是有向線段,不如說出現在 內的點更好。
直線上的情況
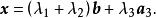
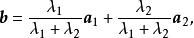
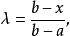
凸組合首先考慮 即在直線上的情況,在直線上引入坐標,設有坐標為a,b的兩點的凸組合x,則
凸組合這個關係式可改寫為
凸組合
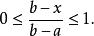
凸組合但因 ,所以
凸組合
凸組合
凸組合
凸組合
凸組合
凸組合
凸組合
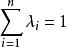
凸組合這就是說 在以 為端點的線段上 (圖1),在 式中令 ,則,令 ,則。
圖1兩個向量的凸組合
凸組合
凸組合
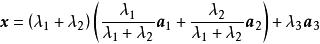
凸組合設 中的向量 的凸組合為 , 則
凸組合可改寫為
凸組合
凸組合
凸組合
凸組合
凸組合這表示 在連結 兩點的線段上, 中的情況也是一樣。
三個向量的凸組合
凸組合
凸組合
凸組合其次,研究三個向量 的凸組合,設,則有
凸組合令
凸組合
凸組合
凸組合
凸組合
凸組合則 b是 的凸組合, 因此在連結 , 並以 為端點的線段上, 由 式有
凸組合
凸組合
凸組合
凸組合
凸組合
凸組合
凸組合
凸組合
凸組合
凸組合是 b和 的凸組合,因此,在以 b和 為端點的線段上,由圖2可以看出, 點 在以 為頂點的三角形上。當 中某個等於0時,點 落在這個三角形的邊上或頂點上。反過來,這個三角形上的任意點,都可以表示為端點為的凸組合(請考慮其理由), 因此的凸組合所表示的點的全體就是以它們為頂點的三角形的邊界和內部的點。
圖2
凸組合
凸組合
凸組合
凸組合點數4個以上的情況也是同樣的, 中n個點 的凸組合全體形成一個凸多邊形,這個凸多邊形的頂點或者是 的全部,或者是其中的—部分,在後一種情況,不是頂點的 落在這多邊形的邊上或內部(圖3)。
圖3
凸組合
凸組合的情況和 一樣,只要把凸多邊形改為 “凸多面體”即可。
凸組合
凸組合
凸組合包含在 中的集合 S有如" ,則 "這樣的性質時,則稱 S為 凸集合,這意味著連結S上任意兩點的線段上的點全部屬於S,即在直觀的意義上, S不是凹下去,沒有不連線的部分,這就是凸集合這個名詞的由來。
凸組合
凸組合
凸組合中的m個向量 的凸組合的全體,是包含它們的最小凸集合,稱為 的 凸包。 稱形如
凸組合
凸組合的向量為 的非負組合。
凸組合
凸組合
凸組合這時候沒有條件 的非負組合全體稱為由 所張的 凸錐,這是形成以原點為頂點的放射狀的區域,在 中的凸錐如圖4所示。
圖4相關性質定理
定理1
集合X是凸集的充要條件是X中點的任意凸組合都屬於X。
定理2
X的凸包是由X中元素的所有凸組合組成的集合。
定理3
凸組合
凸組合
凸組合
凸組合卡拉特奧多里(Caratheodory) 令X是 中集合,若是X中點的凸組合,則是X中個點或更少的點的凸組合。

