簡介
基本簡介
“裝錯信封問題”是由當時最有名的數學家約翰·伯努利(Johann Bernoulli,1667-1748)的兒子丹尼爾·伯努利(DanidBernoulli,1700-1782)提出來的,大意如下:
一個人寫了n封不同的信及相應的n個不同的信封,他把這n封信都裝錯了信封,問都裝錯信封的裝法有多少種?
公式證明
全錯位排列
全錯位排列n個相異的元素排成一排 。則 不在第i位的排列數為:
證明:
全錯位排列
全錯位排列
全錯位排列
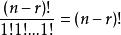
全錯位排列設 的全排列 的集合為I,而使 的全排列的集合記為 ,
全錯位排列則 .
全錯位排列所以 .
全錯位排列注意到 。
由容斥原理:
全錯位排列研究錯排問題的方法
枚舉法
對於情況較少的排列,可以使用枚舉法。
•當n=1時,全排列只有一種,不是錯排,D= 0。
•當n=2時,全排列有兩種,即1、2和2、1,後者是錯排,D= 1。
•當n=3時,全排列有六種,即1、2、3;1、3、2;2、1、3;2、3、1;3、1、2;3、2、1,其中只有有3、1、2和2、3、1是錯排,D=2。用同樣的方法可以知道D=9。
•最小的幾個錯排數是:D= 0,D= 1,D=2,D= 9,D= 44,D= 265,D= 1854.
遞推數列法
對於排列數較多的情況,難以採用枚舉法。這時可以用遞歸思想推導錯排數的遞迴關係式。
全錯位排列
全錯位排列
全錯位排列
全錯位排列顯然 , 。當 時,不妨設n排在了第k位,其中k≠n,也就是 。那么考慮第n位的情況。
•當k排在第n位時,除了n和k以外還有n-2個數,其錯排數為D。
•當k不排在第n位時,那么將第n位重新考慮成一個新的“第k位”,這時的包括k在內的剩下n-1個數的每一種錯排,都等價於只有n-1個數時的錯排(只是其中的第k位會換成第n位)。其錯排數為D。
所以當n排在第k位時共有D+D種錯排方法,又k有從1到n-1共n-1種取法,我們可以得到:
全錯位排列
全錯位排列在上面我們得到 從這個公式中我們可以推出D的通項公式,方法如下:
全錯位排列
全錯位排列為書寫方便,記 ,則
全錯位排列
全錯位排列
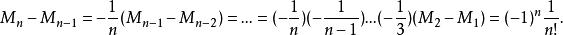
全錯位排列當n大於等於3時,由 ,即 。 所以, 。
全錯位排列於是有
全錯位排列將上面式子分邊累加,得
全錯位排列因此,我們得到錯排公式
多項式模擬
全錯位排列
全錯位排列
全錯位排列
全錯位排列
全錯位排列錯排, 需排在 、 需排在 如此類推。
全錯位排列
全錯位排列
全錯位排列記 ,錯排結果為 中 的係數
全錯位排列
全錯位排列記 為基本對稱多項式,
全錯位排列
全錯位排列
全錯位排列
全錯位排列
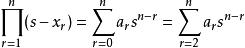
全錯位排列從 選出 ,然後從 選出 ,組成
全錯位排列
全錯位排列
全錯位排列
全錯位排列從 選出r個x有 種可能,從 選出其餘的n-r個x有 種可能
全錯位排列
