簡介
表述為:編號是1、2、…、n的n封信,裝入編號為1、2、…、n的n個信封,要求每封信和信封的編號不同,問有多少種裝法?
對這類問題有個固定的遞推公式,記n封信的錯位重排數為Dn,則D1=0,D2=1,
Dn=(n-1)(Dn-2+Dn-1) 此處n-2、n-1為下標。
n>2
我們只需記住Dn的前幾項:D1=0,D2=1,D3=2,D4=9,D5=44。我們只需要記住結論,進行計算就可以。
【例】五個盒子都貼了標籤,全部貼錯的可能性有多少種?
即全貼錯標籤,N個項數全部排錯的可能數,可以總結出數列:
0,1,2,9,44,265,………
可以得到這樣一個遞推公式:(N-1)*(A+B)=C (A是第一項,B是第二項,C是第三項,N是項數)
s(n)=(n-1) [ s(n-1)+s(n-2)]
s(2)=1,s(3)=2
s(4)=3*(1+2)=9
s(5)=4*(2+9)=44
s(6)=5*(9+44)=265 ....................
公式由來 把編號 1-------------n的小球放到編號1------n的盒子裡,全錯位排列(1號球不在1號盒,2號球不在2號盒,依次類推),共有幾種情況?
------------------------------------------------------
設n個球全放錯的情況有 s(n)種
1號盒子可以選[2,n] 共(n-1)種選擇,設1號盒選擇某號球後對應的錯排次數是 a
(n-1)個選擇對應的錯排次數是相同的 ,則 s(n)=(n-1)a
不妨設1號盒選擇2號球
1: 2號盒選擇1號球,剩下 (n-2)個球去錯排,有 s(n-2)種情況
2: 2號盒不選擇1號球,則後面總有一個盒子選擇1號球,我們可以把1號球換成2號球,
對問題沒有影響,此時就相當於對(n-1)個球去錯排,有s(n-1)種情況
於是a= s(n-1)+s(n-2)
s(n)=(n-1) [ s(n-1)+s(n-2)]
s(2)=1,s(3)=2
s(4)=3*(1+2)=9
s(5)=4*(2+9)=44
s(6)=5*(9+44)=265 ....................
【例題】四位廚師聚餐時各做了一道拿手菜。現在要求每人去品嘗一道菜,但不能嘗自己做的那道菜。問共有幾種不同的嘗法?
A.6種 B.9種 C.12種 D.15種
根據4位廚師的錯位重排數D4=9,所以由公式可以看出是有9種。
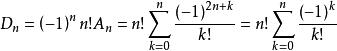
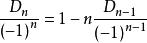
通項公式
已經D1=0,D2=1,Dn=(n-1)(Dn-2+Dn-1),求Dn。
Dn = (n-1)Dn-1 + (n-1)Dn-2
Dn-nDn-1 = -[Dn-1 - (n-1)Dn-2]=(-1)^2*[Dn-2 - (n-2)Dn-3]=...(-1)^(n-2)*(D2-2D1)
設Dn-nDn-1=Cn
Cn=(-1)^(n-2)*1=(-1)^n
則 Dn = (-1)^n + nDn-1
兩邊同除(-1)^n
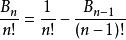
錯位重排設Dn/(-1)^n=Bn
Bn = 1 - nBn
兩邊同除n!
錯位重排設Bn/n!=An
An+An-1=1/n!..................(1)
An-1+An-2=1/(n-1)!.........(2)
............
A2+A1=1/2!......................(n-1)
A1+D1=0..........................(n)
(1)-(2)+(3)..............(n)得
錯位重排
錯位重排
