概念
倍角公式是三角函式中非常實用的一類公式。
公式分類
11和差公式
1三倍角公式
11半角公式
11萬能公式
1積化和差公式
11和差化積公式
1其他
1四倍角公式
sin4A=-4*(cosA*sinA*(2*sinA^2-1))
cos4A=1+(-8*cosA^2+8*cosA^4)
tan4A=(4*tanA-4*tanA^3)/(1-6*tanA^2+tanA^4)
五倍角公式
sin5A=16sinA^5-20sinA^3+5sinA
cos5A=16cosA^5-20cosA^3+5cosA
tan5A=tanA*(5-10*tanA^2+tanA^4)/(1-10*tanA^2+5*tanA^4)
六倍角公式
sin6A=2*(cosA*sinA*(2*sinA+1)*(2*sinA-1)*(-3+4*sinA^2))
cos6A=((-1+2*cosA^2)*(16*cosA^4-16*cosA^2+1))
tan6A=(-6*tanA+20*tanA^3-6*tanA^5)/(-1+15*tanA^2-15*tanA^4+tanA^6)
七倍角公式
sin7A=-(sinA*(56*sinA^2-112*sinA^4-7+64*sinA^6))
cos7A=(cosA*(56*cosA^2-112*cosA^4+64*cosA^6-7))
tan7A=tanA*(-7+35*tanA^2-21*tanA^4+tanA^6)/(-1+21*tanA^2-35*tanA^4+7*tanA^6)
八倍角公式
sin8A=-8*(cosA*sinA*(2*sinA^2-1)*(-8*sinA^2+8*sinA^4+1))
cos8A=1+(160*cosA^4-256*cosA^6+128*cosA^8-32*cosA^2)
tan8A=-8*tanA*(-1+7*tanA^2-7*tanA^4+tanA^6)/(1-28*tanA^2+70*tanA^4-28*tanA^6+tanA^8)
九倍角公式
sin9A=(sinA*(-3+4*sinA^2)*(64*sinA^6-96*sinA^4+36*sinA^2-3))
cos9A=(cosA*(-3+4*cosA^2)*(64*cosA^6-96*cosA^4+36*cosA^2-3))
tan9A=tanA*(9-84*tanA^2+126*tanA^4-36*tanA^6+tanA^8)/(1-36*tanA^2+126*tanA^4-84*tanA^6+9*tanA^8)
十倍角公式
sin10A=2*(cosA*sinA*(4*sinA^2+2*sinA-1)*(4*sinA^2-2*sinA-1)*(-20*sinA^2+5+16*sinA^4))
cos10A=((-1+2*cosA^2)*(256*cosA^8-512*cosA^6+304*cosA^4-48*cosA^2+1))
tan10A=-2*tanA*(5-60*tanA^2+126*tanA^4-60*tanA^6+5*tanA^8)/(-1+45*tanA^2-210*tanA^4+210*tanA^6-45*tanA^8+tanA^10)
N倍角公式
根據棣美弗定理,(cosθ+isinθ)^n=cos(nθ)+isin(nθ)
為方便描述,令sinθ=s,cosθ=c
考慮n為正整數的情形:
cos(nθ)+isin(nθ)
=(c+is)^n
=C(n,0)*c^n+C(n,2)*c^(n-2)*(is)^2+C(n,4)*c^(n-4)*(is)^4+...
+C(n,1)*c^(n-1)*(is)^1+C(n,3)*c^(n-3)*(is)^3+C(n,5)*c^(n-5)*(is)^5+...
=>;比較兩邊的實部與虛部
實部:cos(nθ)=C(n,0)*c^n+C(n,2)*c^(n-2)*(is)^2+C(n,4)*c^(n-4)*(is)^4+...
i*(虛部):i*sin(nθ)=C(n,1)*c^(n-1)*(is)^1+C(n,3)*c^(n-3)*(is)^3+C(n,5)*c^(n-5)*(is)^5+...
對所有的自然數n,
⒈cos(nθ):
公式中出現的s都是偶次方,而s^2=1-c^2(平方關係),因此全部都可以改成以c(也就是cosθ)表示。
⒉sin(nθ):
⑴當n是奇數時:
公式中出現的c都是偶次方,而c^2=1-s^2(平方關係),因此全部都可以改成以s(也就是sinθ)表示。
⑵當n是偶數時:
公式中出現的c都是奇次方,而c^2=1-s^2(平方關係),因此即使再怎么換成s,都至少會剩c(也就是cosθ)的一次方無法消掉。
(例.c^3=c*c^2=c*(1-s^2),c^5=c*(c^2)^2=c*(1-s^2)^2)
特殊公式
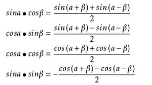
(sina+sinθ)*(sina-sinθ)=sin(a+θ)*sin(a-θ)
證明:(sina+sinθ)*(sina-sinθ)=2sin[(θ+a)/2]cos[(a-θ)/2]*2cos[(θ+a)/2]sin[(a-θ)
=sin(a+θ)*sin(a-θ)
數學公式
A-F
▪半角公式 ▪倍角公式 ▪蔡勒公式 ▪差立方
▪差平方 ▪乘法公式 ▪導數公式 ▪到角公式
▪德摩根公式 ▪定比分點公式 ▪二倍角公式 ▪二階微分方程
以上公式按中文名拼音首字母順序排列
G-L
▪高斯公式 ▪格林第二公式 ▪格林第一公式 ▪格林公式
▪海倫公式 ▪和差化積 ▪和差平方 ▪和立方
▪和平方 ▪弧長公式 ▪弧長計算公式 ▪換底公式
▪夾角公式 ▪角平分線長公式 ▪柯西-阿達馬公式 ▪柯西積分公式
▪拉普拉斯展開 ▪立方和差 ▪兩點間距離公式 ▪兩角和公式
以上公式按中文名拼音首字母順序排列
M-R
▪默比烏斯反演公式 ▪牛頓-寇次公式 ▪歐拉-笛卡爾公式 ▪歐拉公式
▪拋物線標準方程 ▪平方差公式 ▪平移公式 ▪婆羅摩笈多公式
▪球的表面積公式 ▪全機率公式 ▪全期望公式 ▪全微分方程
以上公式按中文名拼音首字母順序排列
S-Z
▪塞爾伯格跡公式 ▪三倍角公式 ▪三角不等式 ▪三角函式差角公式
▪三角函式公式 ▪三角函式和角公式 ▪三角函式周期公式 ▪扇形面積公式
▪扇形面積公式 ▪斯科倫範式 ▪斯特靈公式 ▪斯托克斯公式
▪素數公式 ▪泰勒公式 ▪通項公式 ▪外爾特徵標公式
▪完全平方公式 ▪斜稜柱側面積公式 ▪斜稜柱體積 ▪斜率公式
▪一階微分方程 ▪誘導公式 ▪圓的標準方程 ▪圓的一般方程
▪圓台側面積公式 ▪圓柱側面積公式 ▪圓錐側面積公式 ▪圓錐體體積公式
▪正稜台側面積公式 ▪正稜錐側面積公式 ▪直稜柱側面積公式 ▪重心坐標公式
▪柱體體積公式 ▪錐體體積公式

