基礎三角恆等式
sin²α+cos²α=1
1+tan²α=sec²α
1+cot²α=csc²α
sinα/cosα=tanα
secα/cscα=tanα
cosα/sinα=cotα
兩角和與差
三角恆等變形
三角恆等變形
三角恆等變形倍角公式
二倍角
sin2α = 2cosαsinα
= sin²(α+π/4)-cos²(α+π/4)
= 2sin²(a+π/4)-1
= 1-2cos²(α+π/4)
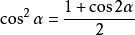
cos2α = cos²α-sin²α
= 1-2sin²α
= 2cos²α-1
= 2sin(α+π/4)·cos(α+π/4)
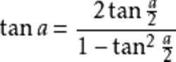
tan2α = 2tanα/[1-(tanα)²]
三倍角
sin3α = 3sinα-4sin³α
cos3α = 4cos³α-3cosα
tan3α = (3tanα-tan³α)/(1-3tan²α)
sin3α = 4sinα·sin(π/3-α)·sin(π/3+α)
cos3α = 4cosα·cos(π/3-α)·cos(π/3+α)
tan3α = tanα·tan(π/3-α)·tan(π/3+α)
n倍角
根據棣莫弗定理的乘方形式 (cos θ+i·sin θ) =cos nθ+i·sin nθ (註:sin θ前的 i 是虛數單位,即-1開方)
將左邊用二項式定理展開分別整理實部和虛部可以得到下面兩組公式
sin(nα) = ncos α·sinα - C(n,3)cos α·sin α + C(n,5)cos α·sin α-…
cos(nα) = cos α - C(n,2)cos α·sin α + C(n,4)cos α·sin α
輔助角
Asinα+Bcosα = √(A +B )sin[α+arctan(B/A)]
Asinα+Bcosα = √(A +B )cos[α-arctan(A/B)]
半角公式
sin(α/2) = ±√[(1-cosα)/2]
cos(α/2) = ±√[(1+cosα)/2]
tan(α/2) = ±√[(1-cosα)/(1+cosα)]=sinα/(1+cosα)=(1-cosα)/sinα=cscα-cotα
cot(α/2) = ±√[(1+cosα)/(1-cosα)]=(1+cosα)/sinα=sinα/(1-cosα)=cscα+cotα
sec(α/2) = ±√[(2secα/(secα+1)]
csc(α/2) = ±√[(2secα/(secα-1)]
誘導公式
kπ+a
sin(2kπ+α)=sinα
cos(2kπ+α)=cosα
tan(kπ+α)=tanα
cot(kπ+α)=cotα
sec(2kπ+α)=secα
csc(2kπ+α)=cscα
sin(π+α)=-sinα
cos(π+α)=-cosα
tan(π+α)=tanα
cot(π+α)=cotα
sec(π+α)=-secα
csc(π+α)=-cscα
-a
sin(-α)=-sinα
cos(-α)=cosα
tan(-α)=-tanα
cot(-α)=-cotα
sec(-α)=secα
csc(-α)=-cscα
π-a
sin(π-α)=sinα
cos(π-α)=-cosα
tan(π-α)=-tanα
cot(π-α)=-cotα
sec(π-α)=-secα
csc(π-α)=cscα
π/2±a
sin(π/2+α)=cosα
cos(π/2+α)=-sinα
tan(π/2+α)=-cotα
cot(π/2+α)=-tanα
sec(π/2+α)=-cscα
csc(π/2+α)=secα
sin(π/2-α)=cosα
cos(π/2-α)=sinα
tan(π/2-α)=cotα
cot(π/2-α)=tanα
sec(π/2-α)=cscα
csc(π/2-α)=secα
3π/2±a
sin(3π/2+α)=-cosα
cos(3π/2+α)=sinα
tan(3π/2+α)=-cotα
cot(3π/2+α)=-tanα
sec(3π/2+α)=cscα
csc(3π/2+α)=-secα
sin(3π/2-α)=-cosα
cos(3π/2-α)=-sinα
tan(3π/2-α)=cotα
cot(3π/2-α)=tanα
sec(3π/2-α)=-cscα
csc(3π/2-α)=-secα
恆等變形
tan(a+π/4)=(tan a+1)/(1-tan a)
tan(a-π/4)=(tan a-1)/(1+tan a)
asinx+bcosx=[√(a²+b²)]{[a/√(a²+b²)]sinx+[b/√(a²+b²)]cosx}=[√(a²+b²)]sin(x+y)【輔助角公式,其中tan y=b/a,或者說siny=b/[√(a²+b²)],cosy=a/[√(a²+b²)]】
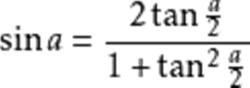
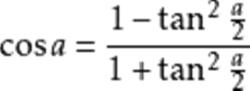
萬能代換
半角的正弦、餘弦和正切公式(降冪擴角公式)
三角恆等變形
三角恆等變形
三角恆等變形積化和差
sinα·cosβ=(1/2)[sin(α+β)+sin(α-β)]
cosα·sinβ=(1/2)[sin(α+β)-sin(α-β)]
cosα·cosβ=(1/2)[cos(α+β)+cos(α-β)]
sinα·sinβ= -(1/2)[cos(α+β)-cos(α-β)](註:留意最前面是負號)
和差化積
三角恆等變形
三角恆等變形
三角恆等變形內角公式
設A,B,C是三角形的三個內角
sinA+sinB+sinC=4cos(A/2)cos(B/2)cos(C/2)
cosA+cosB+cosC=1+4sin(A/2)sin(B/2)sin(C/2)
tanA+tanB+tanC=tanAtanBtanC
cot(A/2)+cot(B/2)+cot(C/2)=cot(A/2)cot(B/2)cot(C/2)
tan(A/2)tan(B/2)+tan(B/2)tan(C/2)+tan(C/2)tan(A/2)=1
cotAcotB+cotBcotC+cotCcotA=1
(cosA)^2+(cosB)^2+(cosC)^2+2cosAcosBcosC=1
sin2A+sin2B+sin2C=4sinAsinBsinC
降冪公式
三角恆等變形
三角恆等變形
三角恆等變形證明方法
首先,在三角形ABC中,角A,B,C所對邊分別為a,b,c若A,B均為銳角,則在三角形ABC中,過C作AB邊垂線交AB於D 由CD=asinB=bsinA(做另兩邊的垂線,同理)可證明正弦定理:a/sinA=b/sinB=c/sinC於是有:AD+BD=c AD=bcosA,BD=acosB AD+BD=c代入正弦定理,可得sinC=sin(180-C)=sin(A+B)=sinAcosB+sinBcosA 即在A,B均為銳角的情況下,可證明正弦和的公式。利用正弦和餘弦的定義及周期性,可證明該公式對任意角成立。於是有 cos(A+B)=sin(90-A-B)=sin(90-A)cos(-B)+cos(90-A)sin(-B)=cosAcosB-sinAsinB
由此求得以上全部公式

