基本介紹
三倍角公式主要有以下幾個:
三倍角正弦公式:
三倍角公式三倍角餘弦公式:
三倍角公式三倍角正切公式:
三倍角公式三倍角餘切公式:
三倍角公式
三倍角公式說明:三倍角三角函式可由二倍角及和角公式推出,即 。
三倍角公式的推導
下面是兩種推導三倍角公式的方法。
恆等變換法
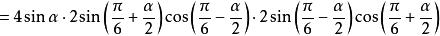
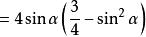
三倍角正弦公式的推導:
三倍角公式
三倍角公式
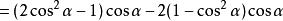
三倍角公式三倍角餘弦公式的推導:
三倍角公式
三倍角公式
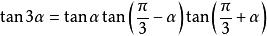
三倍角公式三倍角正切公式的推導:
三倍角公式
三倍角公式
三倍角公式
三倍角公式
三倍角公式
三倍角公式
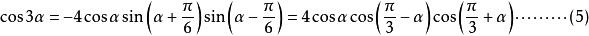
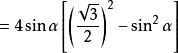
三倍角公式同理,有:
三倍角公式
三倍角公式由 可得:
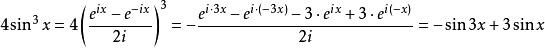
三倍角公式歐拉公式法
由歐拉公式,有
三倍角公式
三倍角公式進而可得(3)式 。

