關於格的交運算
交運算
交運算
交運算
交運算
交運算
交運算
交運算
交運算
交運算
交運算
交運算
交運算
交運算
交運算
交運算
交運算
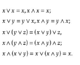
交運算格(lattice)是一類代數結構,它是建立在偏序集之上的,由E的任意元素構造的如下兩個集合{且}及{且},它們作為P的子集均仍為偏序集,一般不一定有最小元或最大元。若對P的任意元素,均有 最小元,均有 最大元,則稱P為 格,並記為。在格上,把和其最小元的對應關係視為一類二元運算,稱為x和y的 交,記為,對稱地,把和其最大元的對應關係視為x和y的結,記為。它們是格上最基本的運算,這兩類運算滿足:
交運算1.同一律:
交運算2.交換律:
交運算3.結合律:
交運算
交運算4.吸收律:
交運算
交運算其中和z均為E的任意元素,因此格又可視為滿足上述四條規律的代數結構。
交運算
交運算
交運算
交運算
交運算
交運算
交運算
交運算
交運算
交運算
交運算
交運算
交運算
交運算雖然格的理論建立較晚,大約在20世紀30年代左右,但是很快就在解決序集問題和組合問題及代數問題中迅速發展,成為有關研究的有效理論基礎,格理論伴隨擬陣理論的發展就是一個明顯的例證,與一般具有序特徵的代數結構不同的是,格中元素的序特徵不是外在的,而是內在的,這是由於它們的序關係完全可以等價地由格的內在運算來刻畫:若且唯若或者若且唯若,這也反映了格的交運算與結運算的對稱性。有一些重要的格的例子。例如,格,這裡為E的所有子集的構成的集族,而,其上的結運算為集x和集y的並集,交運算為集x和集y的交集。又如,若自然數n的所有正整除數組成集合為E,E的元素有序關係若且唯若x能整除y,則偏序集為格,為x和y的最低公倍數,為x和y的最大公約數 。
集合的交運算
定義
交運算
交運算
交運算
交運算對於任意兩個集合A、B,由所有既屬於A又屬於B的元素構成的集合,稱作A與B的 交集,記作。即:={且}。
舉例說明
交運算例如,,則
交運算
交運算又如,,則
交運算
交運算如果集合
,也就是說集合A和B沒有公共元素,則稱A、B不相交。例如:
交運算
交運算那么,即A、B不相交 。
圖形表示
交運算
交運算
交運算集合之間的運算可以用文氏(John Venn英國數學家,1834-1923)圖形象地表示。如圖1所示,用平面上的矩形表示全集。用矩形內的圓表示中的任一集合。圖中陰影部分為。
圖1 集合的交運算由集合交運算的定義可知,交運算有以下性質:
交運算(1) 冪等律:
交運算(2)同一律:
交運算(3)零律:
交運算(4)結合律:
交運算(5)交換律:
類似地,結合律可以用歸納法推廣到有限個集合的情況,記
交運算
