定義
定義隨機變數ξ 和η (有時也稱為二維隨機向量(ξ,η)的二維(聯合)分布函式為:
二維分布
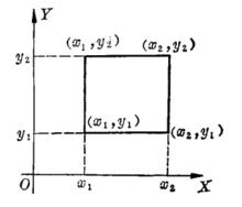
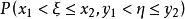
二維分布不難推知:(ξ,η) 落在矩形區域 上的機率為圖(1):
圖1
二維分布
二維分布二維分布函式具有以下一些明顯的性質:
(1) F(x,y)是x和y的非減函式。
二維分布
二維分布即: ,當
二維分布
二維分布當 。
(2) 在-∞處分布函式等於零,即
二維分布
二維分布(3) 當任一個隨機變數的值趨於 時,便得到另一個隨機變數的(一維)分布函式。
二維分布
二維分布
二維分布
二維分布
二維分布
二維分布和 分別叫做隨機變數 和 的邊際分布函式。
(4) 當x,y均趨向於﹢∞時,分布函式趨於1。
二維分布下面分別研究通常所遇見的兩種類型的隨機變數的分布 。
離散型二維分布
離散型二維隨機變數(D.B.R.V) r= r(X,Y)取值為有限或可列無限的向量(坐標對),則稱 r(X,Y) 為離散型隨機變數
二維分布其分布律為
二維分布則由規範性有
二維分布稱為隨機向量 r的分布律,即隨機變數X和Y的聯合分布律(Joint Distribution),似矩陣的表格顯示:
二維分布 | 二維分布 | 二維分布 | 二維分布 | 二維分布 | 二維分布 | 二維分布 |
二維分布 | 二維分布 | 二維分布 | 二維分布 | 二維分布 | 二維分布 | 二維分布 |
二維分布 | 二維分布 | 二維分布 | 二維分布 | 二維分布 | 二維分布 | 二維分布 |
二維分布 | 二維分布 | 二維分布 | 二維分布 | 二維分布 | 二維分布 | 二維分布 |
二維分布 | 二維分布 | 二維分布 | 二維分布 | 二維分布 | 二維分布 | 二維分布 |
二維分布 | 二維分布 | 二維分布 | 二維分布 | 二維分布 | 二維分布 | 二維分布 |
二維分布 | 二維分布 | 二維分布 | 二維分布 | 二維分布 | 二維分布 | 二維分布 |
連續型二維分布
連續型二維隨機變數 如果存在非負可積二元函式f(x,y),使得隨機向量 r= r(X,Y) 的分布函式F(x,y)可表示為f(x,y)的變上限積分形式
二維分布則稱(X,Y)為連續型二維隨機變數(C.B.R.V);非負可積函式f(x,y)稱為(X,Y)的聯合機率密度(Bivariate Density Function) 。
密度函式f(x,y)≥0的基本性質。
(1)非負性:f(x,y)≥0;
二維分布(2)規範性:
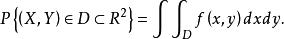
(3)機率意義:隨機點(X,Y)落在某平面域D上的機率是密度函式在區域上的二重積分(圖2),即
二維分布(4)在f(x,y)的連續點處,有
二維分布
圖2 隨機點(X,Y) 落在某平面域上的機率即密度是二元分布函式的二階混合偏導 。

二維分布
二維分布
二維分布
二維分布
二維分布
二維分布
二維分布
二維分布
二維分布
二維分布
二維分布
二維分布
二維分布
二維分布
二維分布
二維分布
二維分布
二維分布
二維分布
二維分布
二維分布
二維分布
二維分布
二維分布
二維分布
二維分布
二維分布 