項管協會
PMI美國項目管理協會有限公司PMI(ProjectManagementInstitute)成立於1969年,是全球領先的項目管理行業的倡導者,它創造性地制定了行業標準,由PMI組織編寫的《項目管理知識體系PMBOK指南》已經成為項目管理領域最權威教科書,被譽為項目管理“聖經”。PMI目前在全球185個國家有70多萬會員和證書持有人,是項目管理專業領域中由研究人員、學者、顧問和經理組成的全球性的專業組織機構。該協會推出的項目管理專業人員資格PMP(ProjectManagementProfessional)認證已經成為全球權威的項目管理資格認證,受到越來越多人的青睞.美國項目管理協會一直致力於項目管理領域的研究工作,全球協會會員都在為探索科學的項目管理體系而努力。
今天,美國項目管理協會創建的項目管理方法已經得到全球公認,從而成為全球項目管理的權威機構。美國項目管理協會致力於向全球推行項目管理,以提高項目管理專業的水準,在教育、會議、標準、出版和認證等方面定製專業技術計畫。美國項目管理協會正成為一個全球性的項目管理知識與智囊中心。國家外國專家局於2000年首次引進國際權威項目管理認證——美國項目管理協會的PMP認證。
全球的PMP人員也在為保持其項目管理的科學性和權威性進行著不懈的努力。美國項目管理協會致力於向全球推行項目管理,以提高項目管理專業的水準,在教育、會議、標準、出版和認證等方面定製專業技術計畫。美國項目管理協會正成為一個全球性的項目管理知識與智囊中心。
採購經理指數
pmi指數主要特性
計算方法
PMI指數計算公式如下:PMI=訂單×30%+生產×25%+雇員×20%+配送×15%+存貨×10%採購經理人指數是以百分比來表示,常以50%作為經濟強弱的分界點:即當指數高於50%時,被解釋為經濟擴張的訊號。當指數低於50%,尤其是非常接近40%時,則有經濟蕭條的憂慮。它是領先指標中一項非常重要的附屬指針。除了對整體指數的關注外,採購經理人指數中的支付物價指數及收取物價指數也被視為物價指標的一種,而其中的就業指數更常被用來預測失業率及非農業就業人口的表現。研究意義
採購經理指數(PMI)已成為世界經濟運行活動的重要評價指標和世界經濟變化的晴雨表,建立中國採購經理指數 (CFLP-PMI)對於完善中國經濟乃至世界經濟監測體系具有積極的推動作用。基於對採購經理進行調查的PMI數據從理論上講能夠反映市場的變動情況,分析CFLP-PMI各個細分指數、與巨觀經濟統計數據進行對比、與行業統計數據進行對比,均顯示一定的相互關聯或者一致性,因此,CFLP-PMI可以作為決策參考,在制定國家經濟政策方面、企業經營方面、金融投資活動方面體現很好的套用價值。採購經理指數(PMI),作為國際通行的經濟監測指標體系,許多國家通常與國內生產總值(GDP)、就業指數、生產者物價指數(PPI)、新屋開工/建設指標(與國內固定資產投資指標類似)、匯率、股指等並行,用來分析經濟走勢、幫助進行各種投資決策、進行階段性研究預測等等,已成為政府、銀行、企業、各類金融機構以及財經媒體廣為套用的重要信息之一。
重要性
PMI目前全球已有20多個國家建立了PMI體系,有關機構已開始建立全球指數和歐元區指數,PMI指數及其商業報告已成為世界經濟運行活動的重要評價指標和世界經濟變化的晴雨表。
隨著全球經濟一體化的迅速推進,中國經濟的崛起已日益為世人所矚目,中國經濟的走勢與變化,正在成為世界的焦點。市場經濟加速發展以及跨國公司進入中國的數量不斷增多,對於各種經濟數據的需求量越來越大,特別是對統計數據的準確性、有效性和客觀性提出了更高的要求。這也促進中國在統計調查和數據發布方面逐步與國際接軌,按照國際慣例行事。建立中國採購經理指數(CFLP-PMI)就是中國市場經濟逐漸趨於成熟在統計領域的具體體現,對於完善中國經濟乃至世界經濟監測體系具有積極的推動作用。
採購經理指數是通過對採購經理的月度調查統計匯總、編制而成的指數,反映了經濟的變化趨勢,是經濟監測的先行指標。根據美國專家的分析,PMI指數與GDP具有高度相關性,且其轉折點往往領先於GDP幾個月。在過去四十多年裡,美國製造業PMI的峰值可領先商業高潮6-18個月左右,領先商業低潮一般1-4個月。在中國,CFLP-PMI經過一年多的數據累計分析,證實在經濟高潮到來之前領先於GDP等相關指標發生變化PMI調查來源於企業採購經理對於本月生產和財務情況的分析判斷,是市場變化的第一手資料。中國製造業CFLP-PMI調查指數以及數據報告於每月第一個工作日發布,時間上大大超前於政府其他部門公布的綜合統計數據。
科學性
正確的結果離不開正確的過程,那么CFLP-PMI的調查過程是怎么執行的呢?為了讓大家共同認識這一調查的過程的嚴謹和科學性,下面介紹一下CFLP-PMI調查過程的幾個關鍵點。 抽樣方法是決定調查結果科學客觀性的重要標準,CFLP的PMI調查採取的PPS抽樣方法,是公認難度最大也是最科學的抽樣方法。在調查正式開始之前,在多次調研的基礎上,CFLP嚴格按照各行業對製造業增加值的貢獻度,確定了各行業的樣本數,在此基礎上,考慮區域分布、企業類型進行PPS抽樣,最終確定樣本企業,從而使得樣本的數量與分布更加科學,調查結果更加準確。 現行的CFLP中國製造業採購經理指數PMI樣本量為730家。該樣本數量遠遠超過美國、英國、日本、新加坡等國的樣本數量,而且占到相對應的工業企業總體全部銷售收入的25%,所以能夠準確地反映製造業全局以及各行業的經濟運行走勢。一旦企業因為兼併重組發生變化,統計局立即抽選同類型的企業參與調查,保證了調查渠道的暢通與完整性。樣本參與保證為保證抽中樣本企業參與調查,CFLP與統計局做了大量的前期準備與培訓工作,準確填報率為99.6%,這在調查領域是一個相當高的樣本保證率,而美國製造業調查的反饋率一般為70%。因此產生的CFLP調查結果能夠具有高度的代表性,反映出行業、區域和整個經濟發展的趨勢。
調查質量保證參與調查的企業採購經理都經過正式培訓,對調查指標能夠正確理解,而且通過網上直接填報的方式,保證了回收問卷的質量。
嚴謹進程保證國家統計局與CFLP首先在對國際PMI指數進行大量研究、與國外專家大量交流之後,在國內進行了充分準備。一方面借鑑了國外經驗,另一方面兼顧中國的國情,確定了問卷設計、PPS抽樣選取方法、指數類別、指標解釋等方案。在山東、天津、甘肅和青島分別進行了調研與試點。經過兩上兩下的過程,最後敲定了調查方案。在採集了部分數據後,再次進行對比分析,進行方案和細節調整,確定了最終的調查分析程式,整個過程嚴謹、科學。
此外,CFLP-PMI的所有數據均由製造企業採購負責人直接填報;CFLP-PMI的調查執行由中國物流與採購聯合會發起調查並負責模型建立、數據匯總分析、研究等核心程式,並承擔對外公開發布工作;國家統計局提供權威成熟的調研渠道支持。這樣的獨立調查也遵循國際慣例,保證了數據來源和結果的準確。
PMI數據
根據統計局1日發布的數據顯示,巨觀經濟的主要先行指數——中國製造業PMI指數連續5個月回升,最近4個月均在50%以上。2013年1月,中國製造業PMI為50.4%。我國經濟趨穩回升態勢已初步形成,2013年經濟運行開局良好,預計全年將保持平穩向好發展基本態勢。但在2014年1月我國滙豐製造業PMI跌破“榮枯線”,並繼續下滑,直到今年3月才出現回升。套用
套用前提
經營情況的判定,而企業經營的各個指標之間是存在邏輯上的相關的。從理論上講,採購經理如果認真填寫問卷的話,其對不同問題的回答結果所反映的企業經營狀況應當是一致的。PMI數據結果應該在以下幾個方面顯示相互關聯或者一致:1、PMI各個細分指數之間存在邏輯上的一致性。
2、與巨觀經濟統計數據進行對比,它們之間存在邏輯上的相關性。
3、與行業統計數據進行對比,二者之間存在邏輯上的相關性。
此外,各個行業之間存在產業鏈條上的相互影響,可以結合產業生產方式等特點對PMI數據進行分析。
這些關聯和一致性不僅是數據本身準確的標準,也是在實際預警套用中的指南和工具。 在前面的一些分析和工作中,可以發現CFLP-PMI的數據在以上幾個方面均能夠體現較好的相關性,並領先於其他經濟指標發生變化。
在巨觀經濟統計數據方面,已經有結果說明,CFLP-PMI與相關工業增加值等經濟指標之間存在很好的相關性,相關係數在75%以上。其次,我們在黑色、有色、多種設備製造業當中抽取了部分數據,與實際經濟統計數據進行相關性和領先性分析,發現CFLP-PMI指數一直領先相關行業經濟指標幾個月,兩種指標的斜性相關係數在70%-89%不等。
套用作用
市場經濟條件下,市場主體都要追求利潤最大化的原則,它相信市場主體在市場變動情況下做出有利企業利益的理性選擇。比如,他們會根據市場的波動、憑藉對市場的預期對下期生產做出最優安排,如採購原料、聘請/裁員等等,這些決策都需要相關的依據。而基於對採購經理進行調查的PMI數據從理論上講能夠反映市場的變動情況,可以作為決策參考,前提是數據結果能夠比較準確地反映現實情況。
套用意義
中國製造業採購經理指數是國家統計局和中國物流與採購聯合會共同合作編制完成的。按雙方協商的合作分工,國家統計局企業調查總隊負責數據的調查採集和加工處理;中國物流與採購聯合會和中國物流信息中心負責數據分析、商務報告的撰寫以及對社會發布。目前,採購經理指數調查已列入國家統計局的正式調查目錄。
管理基礎設施

在ANSI,ITUX.509和IETE PKIX中都有定義,它依賴於公共密鑰基礎設施PKI(Public Key Infrastructure)的支持,任務旨在提供訪問控制和特權管理,提供用戶身份到套用授權的映射功能,實現與實際套用處理模式相對應的、與具體套用系統和管理無關的訪問控制機制,並能極大地簡化套用中訪問控制和許可權管理系統的開發與維護。 國際電聯電信委員會(ITU-T)2001年發表的X.509的第四版首次將許可權管理基礎設施(PMI)的證書完全標準化。X.509的早期版本側重於公鑰基礎設施(PKI)的證書標準化。
PMI授權技術的基本思想是以資源管理為核心,將對資源的訪問控制權統一交由授權機構去管理,即由資源的所有者來進行訪問控制管理。與PKI信任相比,兩者的區別主要在於PKI證明用戶是誰,並將用戶的身份信息保存在用戶的公鑰證書中;而PMI則證明這個用戶有什麼許可權,什麼屬性,能幹什麼,並將用戶的屬性信息保存在屬性證書(又稱管理證書)中。
PMI系統主要分為授權管理中心(又稱AA中心)和資源管理中心(又稱RM中心)兩部分。授權服務平台是授權管理中心的主要設備,是實現PMI授權技術的核心部件,主要為用戶頒發AC授權證書。
PMI使用了屬性證書(Attribute Certificate),屬性證書是一種輕量級的數字證書,這種數字證書不包含公鑰信息,只包含證書所有人ID、發行證書ID、簽名算法、有效期、屬性等信息。一般的屬性證書的有效期均比較短,這樣可以避免公鑰證書在處理CRL時的問題。如果屬性證書的有效期很短,到了有效期的日期,證書將會自動失效,從而避免了公鑰證書在撤消時的種種弊端。屬性一般由屬性類別和屬性值組成,也可以是多個屬性類別和屬性值的組合。這種證書利用屬性來定義每個證書持有者的許可權、角色等信息。從而可以解決PKI中所面臨的問題,對信任進行一定程度的管理。
在中國
國外的PMI分為製造業與非製造業,根據中國的實際情況,我們決定先實施製造業的PMI,待條件成熟時,再實施非製造業的PMI。中國製造業採購經理指標體系的編制,是國內一項開創性工作,也是一項系統工程。
中國PMI
採購經理指數(PMI)是國際通行的巨觀經濟監測體系,涵蓋生產與流通、製造業與非製造業等領域,對國家經濟活動的監測和預測具有重要作用。建立中國採購經理指數的重大意義在於:
1. 有利於與國際接軌。中國加入WTO之後,正在日益成為世界採購中心與製造中心,中國經濟發展成為世界經濟發展的主要推動力,中國經濟形勢如何已是全球關注的焦點,所以是中國需要PMI, 世界也需要中國的PMI。建立中國PMI,將在兩個方面與國際接軌:一是調查方法與統計方法的接軌;二是數據的可比性。
2. 有利於國家經濟與產業經濟。PMI是各國特別是已開發國家反映經濟活動快速的、及時的先行指標。通過PMI,可以及時監測和預測經濟與商業活動中出現的問題和趨勢,使政府對巨觀經濟的走向建立在科學的基礎上。
3. 有利於指導企業各項活動。PMI調查涉及企業生產、採購、庫存、銷售、價格等多個環節,反映了企業全面的商業活動,PMI以及基於PMI的商務報告對企業實際經營活動具有極強的指導作用,使企業特別是大企業集團的戰略決策與業務調整有一個可靠的依據。
建立中國PMI,要學習國外經驗,與國際接軌,這是毋庸置疑的。一方面,在調查方法、主要指標設計、計算方法方面要與國外一致,具有國際可比性;另一方面,必須考慮中國的國情進行研究並不斷完善,以便能夠通過CFLP-PMI研究來更好地預測中國的經濟走勢和行業運行趨勢,對中國的巨觀經濟調控和企業經營決策提供依據。
與國外相比,CFLP-PMI的相關工作起步較晚,經歷了長達兩年多的研究準備期後,國家統計局與中國物流與採購聯合會(CFLP)合作,從2004年啟動,進行試點和前期調查,2005年1月開始正式調查,同年7月正式對外公布中國製造業採購經理指數(CFLP-PMI)。
CFLP-PMI因調查時間短,知名度和社會影響力都有待提升,但其科學性與嚴謹性已經有了一些很好的驗證。我們藉助相關資料對CFLP-PMI的調查過程和數據結果做了一些研究,目的就是使這一科學的指數體系能夠儘快地套用到實際的政策與投資指導中去,為我國經濟的發展做出應有貢獻。
1、與國際接軌
目前世界上已有22個國家建立了PMI指數,國際上已形成了一套比較完善、規範的調查制度、調查方法和指標體系。因此,中國的PMI,在指標和問卷的設計、調查方法與計算方法方面需要和國際接軌,參照了國際通行做法。
2、符合中國國情
國外PMI指數,多數是在已開發國家建立的,其國情與中國存在一定的差異。制定中國PMI,一方面要考慮與國際接軌,另一方面也要兼顧中國的現實情況,這表現在以下幾個方面。
(1) 抽樣方法。PMI監測的是經濟活動的走向與趨勢,其結果如何與抽樣方法密切相關。我們採用了科學的抽樣方法--PPS抽樣,按照各工業行業對製造業增加值的貢獻度,確定了各行業的樣本數。在此基礎上,考慮了區域分布、企業類型,保證了調查與統計方法的合理性與科學性。
在已開發國家中,PMI主要調查的是私人公司,但在中國的經濟中,國有企業依然占較大比例。因此,為確保企業的代表性,在我們的調查樣本中,以大中型企業為主,股份有限公司、有限責任公司、外資企業、國有企業的比重分別占35.6%、27.6%、20.5%和12.6%。
在地區分布上,我們的調查樣本中,東部企業占63.6%,中部占 23.6% ,西部占12.8%,反映了經濟區域的代表性。
根據抽樣的結果,我們共選擇了730家企業,並經過與企業的一一確認,實際上每月報送數據的企業達到727 家,填報率達到99.6%。
(2)做了大量、細緻的準備工作
在設計PMI問卷中,我們採用了試點與調研先行的做法:採用兩上兩下的方式,即我們首先編寫問卷,通過幾個省市企調隊讓企業試填,提出修改意見;在此基礎上進一步修改方案,再提交企業試填,再修改完善,最後形成了最終方案。這樣,基本做到了心中有數、有的放矢,既能滿足巨觀的需要,又能兼顧企業的需求。
聯合會和統計局還共同開展了培訓工作。去年11月,對各省市負責調查的人員開展了培訓。在此基礎上,由各省市分別對本地採購經理進行了培訓。
3、建立了穩定的調查渠道
一項長期的、月度進行的調查,能否持久下去,取得滿意的結果,關鍵在於建立調查隊伍和穩定的調查渠道。
在調查的組織方面,採取了中國物流與採購聯合會與國家統計局合作的方式,具備了三方面的有利條件:一是有統計法為保障;二是企調隊擁有全國的調查渠道;三是企調隊自1998年開始作全國經濟調查,具有豐富的調查經驗和高素質的人員隊伍。同時我們採取兩級機構即城市與省市級企調隊負責催報,這兩級直接針對企業,對被調查對象連續跟蹤,發生變化隨時調整,保證了數據的來源準確、可靠。
4、加強分析的權威性
在數據的分析方面,聯合會本身擁有一批行業專家與權威人士,對此進行了長達三年的深入研究;統計局企調隊也對採購經理指數開展了專題研究。同時我們還邀請了國務院發展研究中心研究員張立群先生作為特約分析師,使我們的分析更具有前瞻性和權威性。
5、採用網上直報方法
PMI調查,我們採用了高科技手段,讓企業經理直接在網上填報,這樣既減少了人工錄入出錯的機率,又加快了填報與匯總的時間。
建設歷程
中國採購經理指數的籌備與建設經歷了長達三年多的時間,大體可以劃分為三個階段。
第一階段
2002年-2004年上半年為調研階段,重點是與國外專家進行多次交流、研討,並開展大量的研究與宣傳工作。與此同時,國家統計局對採購經理指數的建立也十分關注,企業調查隊設立了專門課題,並委託天津、山東、寧夏企調隊進行研究。
第二階段
從2004年下半年到2004年年底,為中國製造業 PMI的推進階段,完成了前期準備工作,包括:確立了中國物流與採購聯合會與國家統計局企調隊的合作方式;完成了調查方案的制定、企業調查問卷的設計、企業抽樣方法制定與實施;在山東、天津和寧夏三個省(市)開展部分企業的試點工作;在青島召開了部分省市採購經理指數小型研討會;召開了全國製造業採購經理指數工作會議,就2005年1月份開展調查進行了部署,並針對採購經理指數的特點及其套用、採購經理調查問卷、聯網上報的具體事宜開展了培訓。
第三階段
從2005年1月開始,全國製造業採購經理指數調查工作正式啟動。經過半年的運轉,取得了三項成果:第一,建立了穩定的調查渠道,全國製造業20個大行業727家企業的採購經理按月填報了調查問卷。第二,建立了製造業PMI資料庫,每月採購經理在網上填報,經過數據的核實與匯總,建立了豐富的、完整的中國製造業PMI資料庫。第三,根據調查結果,中國物流與採購聯合會和國家統計局企調隊編制了製造業採購經理指數,並撰寫商務報告。目前已有六個月的指數。在2005 年4月,我們召開了專家論證會,來自國家有關部委和研究機構的專家們對此給予了高度評價。
當前,中國採購經理指數的工作剛剛起步,我們的工作只是取得了初步的成果,還存在著一些不完善的地方。例如,在PMI建立之初,由於時間序列數據不夠充分,沒有相關的歷史數據,如何確定季節調整因子以及採用更為科學的調整方法;再如,除了滿足國家巨觀需要以外,還要考慮如何滿足企業的需求;採購經理指數與國家其他經濟指標的關係等等,均需要在實踐中不斷地探索。總之,建立中國PMI是一項長期的、基礎性的工作,需要時間和數據的積累,任重而道遠。
中國採購經理指數工作已經有了一個非常好的開端和牢固的基礎。我們相信,通過中國物流與採購聯合會與國家統計局的密切合作,通過我們大家持之以恆的努力,中國的PMI指數體系一定會成功建立,也一定能在國家巨觀經濟預測和企業經營指導方面發揮其應有的作用。
最新情況
中國製造業PMI與季度GDP走勢 歷史數據看,10月份製造業PMI往往由於季節性因素而回落,2010年則繼續明顯反彈,中國PMI已連續20個月位於50%的景氣臨界點以上,這表明製造業總體保持平穩增長態勢的同時,增速有所加快。
反映經濟需求的新訂單指數為58.2%,比上月提升1.9個百分點,該指數已連續三個月穩步回升,且高於生產指數,表明製造業新訂單數量保持增長態勢,市場需求較為強勁。石油加工等行業新訂單數量環比快速增長,企業採購活動較為活躍,上述數據顯示中國經濟強勁增長,這將提升對原油的需求,受此影響,國際油價1日大漲近2%。
當前主導國際原油市場最主要的因素是美國貨幣政策,11月3日,美聯儲將公布新的資產購買計畫,主要的購買對象將是2到10年期國債。市場預計美聯儲新資產購買計畫規模介於5000億到1萬億美元之間。美聯儲正致力於製造一個國債市場的人為牛市,並向市場注入更多的流動性,對於國際油價來說,無疑是個利多因素。
自2009年6月以來,國際油價一直維持在70-80美元/桶區間內波動,近期油價已經突破並站穩於80美元/桶之上。在全球流通性泛濫的背景下,通脹預期明顯增強。國際油價經過長達16個月的調整,有望展開補漲,後市將衝擊100美元/桶。
2012年8月製造業PMI數據的公布拉開了8月巨觀經濟數據的序幕。然而這一數據並不樂觀,8月製造業PMI僅為49.2%,不僅跌破榮枯線,更創新近九個月來的新低。同時,8月鋼鐵業PMI更大幅回落4.6個百分點,創下2008年12月以來新低。
2015年2月,中國製造業採購經理指數(PMI)為49.9% ,比上月微升0.1個百分點,表明製造業收縮幅度收窄。
分企業規模看,大型企業 PMI 為 50.4% ,比上月上升 0.1 個百分點,高於臨界點;中型企業PMI為49.4% ,比上月下降0.5個百分點,低於臨界點;小型企業PMI為48.1% ,比上月回升1.7個百分點,雖然位於臨界點以下,但收縮幅度明顯收窄。
從分類指數看,在構成製造業PMI 的5個分類指數中,生產指數和新訂單指數高於臨界點,從業人員指數、供應商配送時間指數和原材料庫存指數低於臨界點。
數據一攬
| 月 份 | 製造業 | 較上月增長 | 非製造業 | 較上月增長 |
|---|---|---|---|---|
| 2013年08月份 | 51% | 0.7% | 53.9% | -0.2% |
| 2013年07月份 | 50.3% | 0.2% | 54.1% | 0.2% |
| 2013年06月份 | 50.1% | -0.7% | 53.9% | -0.2% |
| 2013年05月份 | 50.8% | 0.2% | 54.3% | -0.2% |
| 2013年04月份 | 50.6% | -0.3% | [3]54.5% | -1.1% |
| 2013年03月份 | 50.9% | 0.8% | 55.6% | 1.1% |
| 2013年02月份 | 50.1% | -0.3% | 54.5% | -1.7% |
| 2013年01月份 | 50.4% | -0.2% | 56.2% | 0.1% |
| 2012年12月份 | 50.6% | 0 | 56.1% | 0.5% |
| 2012年11月份 | 50.6% | 0.4% | 55.6% | 0.1% |
| 2012年10月份 | 50.2% | 0.4% | 55.5% | 1.8% |
| 2012年09月份 | 49.8% | 0.6% | 53.7% | -2.6% |
| 2012年08月份 | 49.2% | -0.90% | 56.3% | 0.70% |
| 2012年07月份 | 50.1% | -0.10% | 55.6% | -1.10% |
| 2012年06月份 | 50.2% | -0.20% | 56.7% | 1.50% |
| 2012年05月份 | 50.4% | -2.9% | 55.2% | -0.90% |
| 2012年04月份 | 53.3% | 0.20 % | 56.1% | -1.90 % |
| 2012年03月份 | 53.1% | 2.10 % | 58% | 0.70 % |
| 2012年02月份 | 51% | 0.50 % | 48.4% | -4.50 % |
| 2012年01月份 | 50.5% | 0.20 % | 52.9% | -3.10 % |
| 2011年12月份 | 50.3% | 1.30 % | 56% | 6.30 % |
| 2011年11月份 | 49% | -1.40 % | 49.7% | -8.00 % |
| 2011年10月份 | 50.4% | -0.80 % | 57.7% | -1.60 % |
| 2011年09月份 | 51.2% | 0.30 % | 59.3% | 1.70 % |
| 2011年08月份 | 50.9% | 0.20 % | 57.6% | -2.00 % |
| 2011年07月份 | 50.7% | -0.20 % | 59.6% | 2.60 % |
| 2011年06月份 | 50.9% | -1.10 % | 57% | -4.90 % |
| 2011年05月份 | 52% | -0.90 % | 61.9% | -0.60 % |
| 2011年04月份 | 52.9% | -0.50 % | 62.5% | 2.30 % |
| 2011年03月份 | 53.4% | 1.20 % | 60.2% | 16.10 % |
| 2011年02月份 | 52.2% | -0.70 % | 44.1% | -12.30 % |
| 2011年01月份 | 52.9% | -1.00 % | 56.4% | -0.10 % |
| 2010年12月份 | 53.9% | -1.30 % | 56.5% | 3.30 % |
| 2010年11月份 | 55.2% | 0.50 % | 53.2% | -7.30 % |
| 2010年10月份 | 54.7% | 0.90 % | 60.5% | -1.20 % |
| 2010年09月份 | 53.8% | 2.10 % | 61.7% | 1.60 % |
| 2010年08月份 | 51.7% | 0.50 % | 60.1% | 0.00 % |
| 2010年07月份 | 51.2% | -0.90 % | 60.1% | 2.70 % |
| 2010年06月份 | 52.1% | -1.80 % | 57.4% | -5.30 % |
| 2010年05月份 | 53.9% | -1.80 % | 62.7% | -0.30 % |
| 2010年04月份 | 55.7% | 0.60 % | 63% | 4.60 % |
| 2010年03月份 | 55.1% | 3.10 % | 58.4% | 12.00 % |
| 2010年02月份 | 52% | -3.80 % | 46.4% | -8.70 % |
| 2010年01月份 | 55.8% | -0.80 % | 55.1% | -2.40 % |
| 2009年12月份 | 56.6% | 1.40 % | 57.5% | 5.20 % |
| 2009年11月份 | 55.2% | 0.00 % | 52.3% | -9.80 % |
| 2009年10月份 | 55.2% | 0.90 % | 62.1% | 3.20 % |
| 2009年09月份 | 54.3% | 0.30 % | 58.9% | -1.00 % |
| 2009年08月份 | 54% | 0.70 % | 59.9% | 1.00 % |
| 2009年07月份 | 53.3% | 0.10 % | 58.9% | 3.50 % |
| 2009年06月份 | 53.2% | 0.10 % | 55.4% | -5.50 % |
| 2009年05月份 | 53.1% | -0.40 % | 60.9% | -1.90 % |
| 2009年04月份 | 53.5% | 1.10 % | 59% | 3.30 % |
| 2009年03月份 | 52.4% | 3.40 % | 55.7% | 13.80 % |
| 2009年02月份 | 49% | 3.70 % | 41.9% | -9.10 % |
| 2009年01月份 | 45.3% | 4.10 % | 55.7% | 13.80 % |
| 2008年12月份 | 41.2% | 2.40 % | 48.9% | 3.50 % |
| 2008年11月份 | 38.8% | -5.80 % | 45.4% | -11.30 % |
| 2008年10月份 | 44.6% | -6.60 % | 56.7% | -1.40 % |
| 2008年09月份 | 51.2% | 2.80 % | 58.1% | 4.30 % |
| 2008年08月份 | 48.4% | 0.00 % | 53.8% | -4.30 % |
| 2008年07月份 | 48.4% | -3.60 % | 58.1% | 1.20 % |
| 2008年06月份 | 52% | -1.30 % | 56.9% | -3.60 % |
| 2008年05月份 | 53.3% | -5.90 % | 60.5% | -2.40 % |
| 2008年04月份 | 59.2% | 0.80 % | 62.9% | 2.60 % |
| 2008年03月份 | 58.4% | 5.00 % | 60.3% | 13.40 % |
| 2008年02月份 | 53.4% | 0.40 % | 46.9% | -10.20 % |
| 2008年01月份 | 53% | -2.30 % | 57.1% | 0.00 % |
其他含義
美國項目管理協會(ProjectManagementInstitute)該協會成立於1969年。它是一個有著10萬多名會員的國際性項目管理專業協會,是項目管理專業領域中由研究人員、學者、顧問和經理組成的全球性的最大專業組織機構。
美國項目管理協會一直致力於項目管理領域的研究工作,全球協會會員都在為探索科學的項目管理體系而努力。今天,美國項目管理協會創建的項目管理方法已經得到全球公認,從而成為全球項目管理的權威機構。同時,全球的PMP人員也在為保持其項目管理的科學性和權威性進行著不懈的努力。美國項目管理協會致力於向全球推行項目管理,以提高項目管理專業的水準,在教育、會議、標準、出版和認證等方面定製專業技術計畫。美國項目管理協會正成為一個全球性的項目管理知識與智囊中心。
每年會組織PMI的認證考試,許多從事本地化項目管理的高級管理人員會參與這門考試,考試之前會經過專門的培訓,他們將獲得美國項目管理協會認可的資格證明。又稱為屬性特權機構,在ANSI,ITUX.509和IETEPKIX中都有定義,它依賴於公共密鑰基礎設施PKI(PublicKeyInfrastructure)的支持,任務旨在提供訪問控制和特權管理,提供用戶身份到套用授權的映射功能,實現與實際套用處理模式相對應的、與具體套用系統和管理無關的訪問控制機制,並能極大地簡化套用中訪問控制和許可權管理系統的開發與維護。國際電聯電信委員會(ITU-T)2001年發表的X.509的第四版首次將許可權管理基礎設施(PMI)的證書完全標準化。X.509的早期版本側重於公鑰基礎設施(PKI)的證書標準化。
PMI授權技術的基本思想是以資源管理為核心,將對資源的訪問控制權統一交由授權機構去管理,即由資源的所有者來進行訪問控制管理。與PKI信任相比,兩者的區別主要在於PKI證明用戶是誰,並將用戶的身份信息保存在用戶的公鑰證書中;而PMI則證明這個用戶有什麼許可權,什麼屬性,能幹什麼,並將用戶的屬性信息保存在屬性證書(又稱管理證書)中。
PMI系統主要分為授權管理中心(又稱AA中心)和資源管理中心(又稱RM中心)兩部分。授權服務平台是授權管理中心的主要設備,是實現PMI授權技術的核心部件,主要為用戶頒發AC授權證書。
PMI使用了屬性證書(AttributeCertificate),屬性證書是一種輕量級的數字證書,這種數字證書不包含公鑰信息,只包含證書所有人ID、發行證書ID、簽名算法、有效期、屬性等信息。一般的屬性證書的有效期均比較短,這樣可以避免公鑰證書在處理CRL時的問題。如果屬性證書的有效期很短,到了有效期的日期,證書將會自動失效,從而避免了公鑰證書在撤消時的種種弊端。屬性一般由屬性類別和屬性值組成,也可以是多個屬性類別和屬性值的組合。這種證書利用屬性來定義每個證書持有者的許可權、角色等信息。從而可以解決PKI中所面臨的問題,對信任進行一定程度的管理。
死亡後間隔時間
PMI:Post-morteminterval,死亡後間隔時間,死亡後間期,法醫學上指屍體死亡到被發現的時間間隔。在醫學研究中指屍檢樣本取材到進行生物學指標檢測或至穩定環境中保存之間的時間間隔,用以反映樣本的質量,PMI越長,認為樣本mRNA,蛋白信息保存越差。
勁強國際股份有限公司
PMI勁強國際股份有限公司1990年成立於台灣。PMI是致力於計算機存儲類產品的專業製造商與供應商。我們為世界範圍的PC零售商,代理商,以及OEM用戶提供全面的存儲升級產品與方案。我們的目標是成為存儲類產品的領先者並長期的保持該地位。我們始終堅信通過嚴格與高質量的產品控制,可靠的服務,高效率的物流系統,以及極富競爭性的價格優勢是與客戶建立與維繫良好的合作夥伴的關鍵。完整的生產製造流水線是我們具備了滿足所有客戶的需求的能力。所有PMI產品從設計到測試都自行完成,生產過程中伴隨的嚴格的質量控制流程,保證了我們的存儲類產品達到了100%的兼容性。
在今天不斷變換的市場競爭中我們認識到快速的物流系統是維繫一家生產型企業的關鍵,為了達到這個目標對客戶的需求作出最快速的回響,我們在美國,香港,荷蘭和上海建立了面向全球的四個分支公司,為全球客戶提供及時的物流以及可靠與完善的售後服務。
聚甲基丙烯醯亞胺
PMI是聚甲基丙烯醯亞胺(polymethacrylimide)的英文縮寫。聚甲基丙烯醯亞胺(PMI)泡沫塑膠是一種輕質、閉孔的硬質泡沫塑膠。具有良好的力學性能、熱變形溫度和化學穩定性,是高性能夾層結構複合材料的理想芯層材料。目前,商品化的PMI泡沫塑膠主要是由德國Rohm&Hass公司生產,以ROHACELLR為商品名推向市場。
PMI值
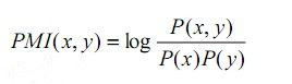
公式其中,P(x)是x單獨出現的機率,而P(x,y)是x和y同時出現的機率。可以看出,當x和y獨立時,PMI值為0;而x和y正相關性越高,PMI值也越大。
行列數
PrecodingMatrixIndicator,LTE中預編碼矩陣的行列數
PMI走勢
PMI往往被當作經濟先行指標,用於預測經濟走向,為了驗證中國官方PMI與滙豐PMI對經濟的先行性,下圖已將製造業PMI與國內GDP走勢進行了疊加,可以看出製造業PMI走勢與GDP增速走勢基本吻合,說明製造業PMI與經濟走勢有較強的趨同性。

